Report a question

You cannot submit an empty report. Please add some details.
0%

 

 


আদর্শ গ্যাস ও গ্যাসের গতিতত্ত্ব MEDICAL Free Exam Batch

25 MCQ // 15 Min

Routine

এক্সাম দেওয়ার জন্য, আপনার এবং আপনার কলেজের নাম লিখুন

1 / 25

1.

SI এককে গ্যাসের চাপ কোনটি?

2 / 25

2.

গ্যাসের চাপ একক আয়তনের গতিশক্তির কত অংশ?

3 / 25

3.

কোন স্থানের আপেক্ষিক আর্দ্রতা কিসের উপর নির্ভর করে?

4 / 25

4.

30°C তাপমাত্রায় অক্সিজেনের মূল গড় বর্গবেগঃ

5 / 25

5.
5.

নিচের কোনটি পদ???র্থের অবস্থার পরিবর্তন নয়?

6 / 25

6.

29°C তাপমাত্রায় 3 gm নাইট্রোজেন গ্যাসের মোট গতিশক্তি কত?

7 / 25

7.

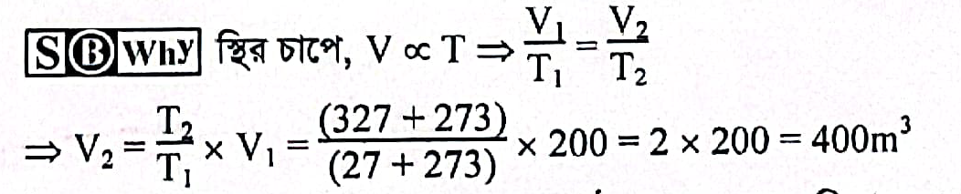
স্থির চাপে 27°C তাপমাত্রায় 200m3 আয়তনের গ্যাসকে 327°C  তাপমাত্রায় উত্তপ্ত করা হল।গ্যাসটির আয়তন কত?

8 / 25

8.

স্থির চাপে কোনো গ্যাসের তাপমাত্রা 27°C থেকে কত বৃদ্ধি করলে এর আয়তন দ্বিগুণ হবে?

9 / 25

9.
9.

কোন উক্তিটি সঠিক নয়? 

10 / 25

10.

PV = K, এই সমীকরণটি সাধারণভাবে কোন সূত্রের প্রকাশ?

11 / 25

11.

সাধারণ অবস্থায় নাইট্রোজেন একটি?

12 / 25

12.

নিম্নের কোনটি অসম্পৃক্ত বাষ্পের বৈশিষ্ট্য? 

13 / 25

13.

নির্দিষ্ট ওজনের একটি আদর্শ গ্যাসের ক্ষমতা নির্ভর করে তার কোন বৈশিষ্ট্যের উপর? 

14 / 25

14.

কোন গ্যাসের আপেক্ষিক বেগ বেশি হলে, ঐ গ্যাসের ত্বরণে অবস্থার কী পরিবর্তন হবে? 

15 / 25

15. তিনটি অনুর বেগ হলো যথাক্রমে 20ms-1, 25ms-1, 30ms -1। তাদের মধ্যে মূল গড় বর্গবেগ কত?

16 / 25

16.  “একই তাপমাত্রা ও চাপে সমান আয়তনের সকল গ্যাসে সমান সংখ্যক অনু থাকে । ” সূত্রটি কার?

17 / 25

17. আকাশে কত ডিগ্রি সেলসিয়াস তাপমাত্রায় পানি কণা জমে যায় এবং শিলা আকারে পৃথিবীতে নেমে আসে?

18 / 25

18. কোন এক দিনের শিশিরাংক 10°C এবং আপেক্ষিক আর্দ্রতা 67.30%। ঐ দিনের সম্পৃক্ত জলীয় বাষ্পের চাপ কত? | [10°C তাপমাত্রায় জলীয় বাষ্পের চাপ=13.64×10-3mHg]

19 / 25

19. একজন লোক এক নিঃশ্বাসে 200 ml বায়ু গ্রহণ করে। বায়ুর তাপমাত্রা 27°C এবং সে সময়ে বাতাসের চাপ 750 mm(Hg) হলে লোকটি একবারে কত গ্যাসানু গ্রহণ করে?

20 / 25

20. 0° C তাপমাত্রায় শব্দের বেগ 332.5ms-1 হলে 30° C  তাপমাত্রায় বেগ কত?

21 / 25

21. যখন গ্যাসের ঘনত্ব বৃদ্ধি পায় তখন গ্যাস অণুর গড় মুক্ত পথ –

22 / 25

22. স্বাভাবিক তাপমাত্রা ও চাপে কিছু পরিমাণ শুষ্ক বায়ুকে ধ্রুব তাপমাত্রায় সংনমিত করে আয়তন অর্ধেক করা হলে চূড়ান্ত চাপ কত হবে? 

23 / 25

23. তিনটি গ্যাস অণুর বেগ যথাক্রমে 25 ms-1, 30ms-1 এবং 35 ms-1 তাদের মূল গড় বৰ্গ বেগ কত?

24 / 25

24. অক্সিজেন গ্যাসের গামা এর মান –

25 / 25

25. স্বাভাবিক তাপমাত্রা ও চাপে R এর মান হচ্ছে-

Your score is

0%

RESULT

সবার রেজাল্ট একসাথে দেখার জন্য ‘Show’ এর পাশে ‘5’ ক্লিক করার পর ‘All’ এ ক্লিক করেন। ‼ এক্সাম SUBMIT করার পর, রেজাল্টে আপনার মেরিট দেখতে পেজটিকে একবার Reload করুন।

Pos.NameCollege NameHSC BatchPoints
1......17 / 25
2Md karim SheikhUllapara science college 202317 / 25
3XY202617 / 25
4Taslima2315 / 25
5RiyadNarsingdi Government College 2315 / 25
6TaheraKumudini 2414 / 25
7Priya dasNari sikka academy degree college 202414 / 25
8MoniraCRC 202313 / 25
9AkhiPabna Islamia college 202312 / 25
10রুহিBGC 20232 / 25
11Guest0 / 0
12Guest0 / 0
13...0 / 25

DETAILS

আপনি যদি লগিন করে এক্সাম দেন, তাহলে আপনার দাগানো কোন MCQ সঠিক এবং ভুল ছিল, সব দেখতে পারবেন এখানে।

You must log in to see your results.