Report a question

You cannot submit an empty report. Please add some details.
0%

সংযুক্ত কোণের ত্রিকোণমিতিক অনুপাত – 2025-11-22

এক্সাম দেওয়ার জন্য, আপনার এবং আপনার কলেজের নাম লিখুন

1 / 25

1. Tan 20o.Tan 40o.Tan 80o এর মান কত?

2 / 25

2. cos15°−sin15°=?

3 / 25

3. যদি A+B+C = π, tan-12 = A এবং tan-13 = B  হয়, তবে C এর মান কত?

4 / 25

4. যদি sin θ+ cosecθ= 2 হয়, তবে sin20θ+cosec21θ এর মান হবে-

5 / 25

5. Φ(x) = loge cos x হতে e2Φ(x) এর মান কোনটি?

6 / 25

6.  (cos7^°-sin7^°)/(cos7^°+sin7^°) =কত?

7 / 25

7. tan^-1(2)+tan^-1(3)+tan^-1(4) হলে, tanθ=?

8 / 25

8. 2cos2θ+2√2sinθ = 3 হলে,θ এর মান কত ?

9 / 25

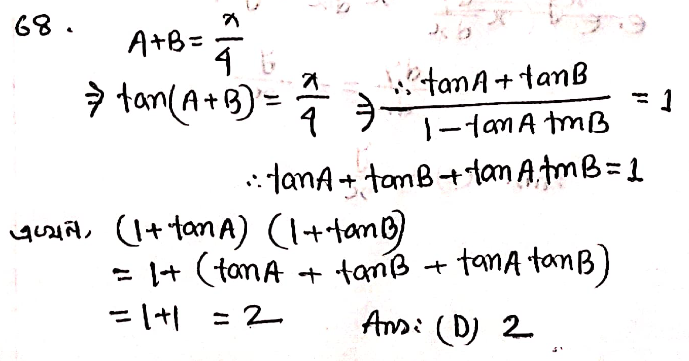
9. A + B = π/4 হলে, (1+tanA)(1+tanB) এর মান কত?

10 / 25

10.  y=sin(nπ+π/6) এর ক্ষেত্রে—

  1. এটি পর্যায়বৃত্ত ফাংশন
  2. n জোড় হলে এর মান 1/2
  3. n বিজোড় হলে এর মান -1/2

নিচের কোনটি সঠিক? 

11 / 25

11. 2tan^-1 (1/5) – tan^-1 (1/3) =tan^-1x হলেx এর মান কত ?

12 / 25

12. ABC ত্রিভুজের ক্ষেত্রে,  cos(B-C) + cosA = কোনটি?

13 / 25

13. যদি A + B + C = (4n + 1) এবং n ∈ Z হয় তবে, cot A cot B + cot B cot C + cot A cot C এর মান কত?

14 / 25

14. ( rcostheta = 7 ) এবং ( rsintheta = 3 ) হলে ( r ) এর মান কত?

15 / 25

15. sin(πCosθ)= cos(πsinθ) হলে θ এর মান কোনটি?

16 / 25

16. 2 cos α  = x + 1/x হলে, cos 3α  =?

17 / 25

17. প্রশ্ন-৭ sinθ = 4/5  এবং π/2 < θ < π  হয়, তবে 

(tantheta + sec(-theta))/ (cottheta+cosec(-theta)) = ?

18 / 25

18. tanθ=340<θ<π2 হলে sinθ  cosθsinθ + cosθ এর মান কোনটি?

19 / 25

19. 2ɑ + 2β + 2ɤ = π হলে cosec(ɑ + ɤ) এর মান কত?

20 / 25

20. cotAcotB+cotBcotC+cotCcotA=1 হলে A+B+C=?

21 / 25

21. cos15°−sin15°=?

22 / 25

22. A = arccos(x) এবং B = arccos(y) A-B = হলে, নিচের কোনটি সঠিক?

23 / 25

23.

(3sin x – sin 3x)/(3cos x + cos 3x) =?

24 / 25

24. 2(sin θ cos θ + √3) = √3 cos θ + 4 sinθ; 0 < θ <π/2 এর সমাধান বের কর।

25 / 25

25. কোণ 90° থেকে বেড়ে 180° হলে –

  1. Cosθ এর মান 0 থেকে কমে -1 হবে
  2. Sinθ এর মান 1 থেকে কমে 0 হবে
  3. Cotθ এর মান বাড়তে থাকবে

নিচের কোনটি সঠিক?

Your score is

0%