EWU
Last loaded:
Loading...
লগইন করুন
University:
EWU
Year:
All Year
2022
2021
2019
2018
2017
2016
2015
Select Unit:
All Combined Unit
FALL
SPRING
SUMMER
Subject:
All Combined Subject
জীববিজ্ঞান দ্বিতীয় পত্র
রসায়ন দ্বিতীয় পত্র
অর্থনীতি প্রথম পত্র
ইংরেজি - গ্রামার ও ভোকাবুলারি
মানসিক দক্ষতা(IQ)
উচ্চতর গণিত দ্বিতীয় পত্র
সাধারণ গণিত
Rezoan started a business investing Tk. 50,000. Four months after he started, Ameer joined him with a capital of Tk. 90,000. If at the end of the year the total profit in the business is Tk. 22000. What would be the Ameer's share in it
A. 10000
B. 15000
C. 12000
D. 16000
সঠিক উত্তর ও ব্যাখ্যা
EWU
22-23
SUMMER
Math-Gen
Math-Gen-2
অনুপাত (অংশীদারি)
Topic Practice (All Question)
5 answers
Find the next number of the series: 3, 6, 4, 9, 5, 12, 6,.....?
A. 7
B. 9
C. 12
D. 15
সঠিক উত্তর ও ব্যাখ্যা
EWU
22-23
SUMMER
মানসিক দক্ষতা(IQ)
সংখ্যাগত সমস্যা
IQ-6
Topic Practice (All Question)
6 answers
In a basket of fruits, the ratio of number of apples, bananas, and oranges is 3:4:8. If the number of apples is 9, how many bananas does the basket have?
A. 4
B. 8
C. 10
D. 12
সঠিক উত্তর ও ব্যাখ্যা
EWU
22-23
SUMMER
মানসিক দক্ষতা(IQ)
গাণিতিক সমস্যা
IQ-4
Topic Practice (All Question)
2 answers
Select the alternative you consider both most correct and most effective according to the requirements of standard written English. Answer (A) is the same as the original version: if you think the original version is best, select answer (A).
Using is wisely
, leisure will boost up our health and efficiency.
A. Using it wisely
B. Often used it wisely
C. Usage of it wisely
D. If it is used wisely
E. Because it can be used wisely
সঠিক উত্তর ও ব্যাখ্যা
এই প্রশ্নের কোনো ব্যাখ্যা পাওয়া যায়নি।
EWU
22-23
SUMMER
ইংরেজি - গ্রামার ও ভোকাবুলারি
Sentence Correction
Sentence Correction
Topic Practice (All Question)
5 answers
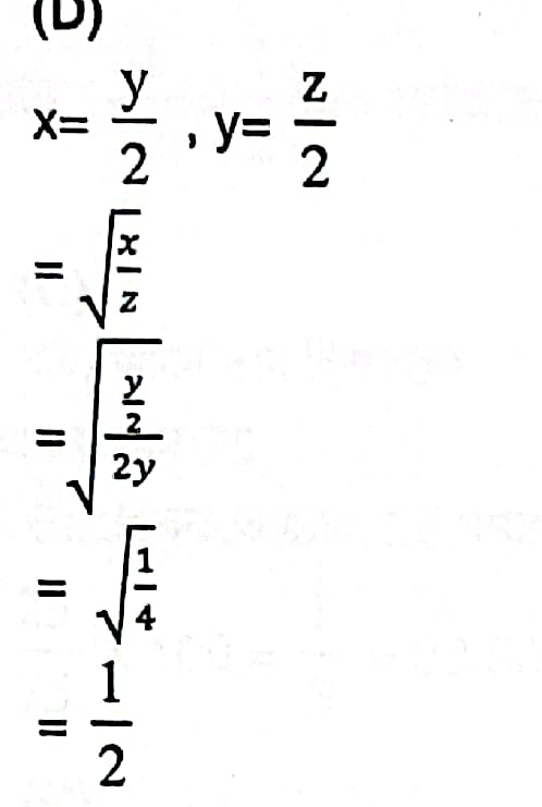
If x = y/2 and y = z/2, then √(x/z) =?
A. 4
B. 2
C. 1
D. 1/2
সঠিক উত্তর ও ব্যাখ্যা
EWU
22-23
SUMMER
Math-Gen
Math-Gen-2
বীজগণিতীয় রাশি
Topic Practice (All Question)
4 answers
The average of a group of 8 numbers is 9. If 1 of these numbers is removed from the group, the average of the remaining number is 7.What is the value of the number removed?
A. 72
B. 63
C. 49
D. 23
সঠিক উত্তর ও ব্যাখ্যা
EWU
22-23
SUMMER
Math-Gen
Math-Gen-12
কেন্দ্রীয় প্রবণতা (গড়, মধ্যক, প্রচুরক)
Topic Practice (All Question)
2 answers
Select the alternative you consider both most correct and most effective according to the requirements of standard written English. Answer (A) is the same as the original version: if you think the original version is best, select answer (A).
The CEO
failed to deal with widespread corruptions within
the company.
A. failed to deal with widespread corruptions within
B. failed to deal with widespread corruption with
C. failed to deal widespread corruptions within
D. failed dealing with widespread corruptions within
E. failed to deal with widespread corruption within
সঠিক উত্তর ও ব্যাখ্যা
এই প্রশ্নের কোনো ব্যাখ্যা পাওয়া যায়নি।
EWU
22-23
SUMMER
ইংরেজি - গ্রামার ও ভোকাবুলারি
Sentence Correction
Sentence Correction
Topic Practice (All Question)
4 answers
It ____ five years since she had seen her mother
A. Was
B. Were
C. Has
D. Had been
E. Has been
সঠিক উত্তর ও ব্যাখ্যা
এই প্রশ্নের কোনো ব্যাখ্যা পাওয়া যায়নি।
EWU
22-23
SUMMER
ইংরেজি - গ্রামার ও ভোকাবুলারি
Tense & Sequence of Tense
Tense and Sequence of Tense
Topic Practice (All Question)
5 answers
What is 10% of of 20% of 30%?
A. 0.006%
B. 0.6%
C. 6%
D. 60%
সঠিক উত্তর ও ব্যাখ্যা
EWU
22-23
SUMMER
মানসিক দক্ষতা(IQ)
গাণিতিক সমস্যা
IQ-4
Topic Practice (All Question)
3 answers
A sum of money is divided among three persons in the ratio 4:6:9. If the largest share is Tk. 1000 more than the smallest share, what is the total sum
A. 4000
B. 9500
C. 3600
D. 3800
সঠিক উত্তর ও ব্যাখ্যা
EWU
22-23
SUMMER
মানসিক দক্ষতা(IQ)
গাণিতিক সমস্যা
IQ-4
Topic Practice (All Question)
2 answers
Interestingly, the color of the strawberries___ blue.
A. were
B. has
C. are
D. was
E. have
সঠিক উত্তর ও ব্যাখ্যা
এই প্রশ্নের কোনো ব্যাখ্যা পাওয়া যায়নি।
EWU
22-23
SUMMER
ইংরেজি - গ্রামার ও ভোকাবুলারি
Subject-Verb Agreement
Subject-Verb Agreement
Topic Practice (All Question)
5 answers
If 0.6 is the average of the four quantities 0.2, 0.8, 1.0 and x. What is the numerical v
alue of x?
A. 0.2
B. 0.4
C. 0.67
D. 1.3
সঠিক উত্তর ও ব্যাখ্যা
EWU
22-23
SUMMER
Math-Gen
Math-Gen-12
কেন্দ্রীয় প্রবণতা (গড়, মধ্যক, প্রচুরক)
Topic Practice (All Question)
2 answers
If 12 men can build a wall 180 m long in 54 days, how many days it will take to build a similar wall 160 m long, if 16 men working on it
A. 24
B. 36
C. 28
D. 35
সঠিক উত্তর ও ব্যাখ্যা
EWU
22-23
SUMMER
মানসিক দক্ষতা(IQ)
গাণিতিক সমস্যা
IQ-4
Topic Practice (All Question)
1 answers
On a 400-mile trip, car X traveled half the distance at 40 miles per hour and the other half at 50 miles per hour. What was the average speed of car X?
A. 45
B. 44 4/9
C. 40
D. 45 4/9
সঠিক উত্তর ও ব্যাখ্যা
EWU
22-23
SUMMER
মানসিক দক্ষতা(IQ)
গাণিতিক সমস্যা
IQ-4
Topic Practice (All Question)
2 answers
How many squares with sides-inch long are needed to cover a rectangle that is 4 feet long and 6 feet wide?
A. 24
B. 96
C. 13824
D. 3456
E. Blank
সঠিক উত্তর ও ব্যাখ্যা
EWU
22-23
SUMMER
মানসিক দক্ষতা(IQ)
গাণিতিক সমস্যা
IQ-4
Topic Practice (All Question)
1 answers
A bus uses one gallon of petrol to travel 15 km. After a tune-up, the bus travels 15% farther on one gallon. How many gallons of petrol will it take for the bus to travel 150 km after a tune-up?
A. 8.5
B. 8.7
C. 8.9
D. 9.0
সঠিক উত্তর ও ব্যাখ্যা
EWU
22-23
SUMMER
মানসিক দক্ষতা(IQ)
গাণিতিক সমস্যা
IQ-4
Topic Practice (All Question)
1 answers
Identify the missing word from the given choices.
Kindly keep the book on table
A. Large
B. The
C. Above
D. A
E. Here
সঠিক উত্তর ও ব্যাখ্যা
এই প্রশ্নের কোনো ব্যাখ্যা পাওয়া যায়নি।
EWU
22-23
SUMMER
ইংরেজি - গ্রামার ও ভোকাবুলারি
Article
Article
Topic Practice (All Question)
3 answers
Amio, working alone, can finish a certain job in 10 days; and Somio, working alone, can finish the same job in 15 days. If Amio and Somio are working together how many days d
o they need to finish the job?
A. 25 days
B. 12.5 days
C. 6 days
D. 8 days
সঠিক উত্তর ও ব্যাখ্যা
EWU
22-23
SUMMER
মানসিক দক্ষতা(IQ)
গাণিতিক সমস্যা
IQ-4
Topic Practice (All Question)
0 answers
Partygoers are thought to be more___ than loners.
A. Ghastly
B. Sociable
C. Unbeatable
D. Bitterness
E. Activator
সঠিক উত্তর ও ব্যাখ্যা
এই প্রশ্নের কোনো ব্যাখ্যা পাওয়া যায়নি।
EWU
22-23
SUMMER
ইংরেজি - গ্রামার ও ভোকাবুলারি
Sentence Correction
Sentence Correction
Topic Practice (All Question)
2 answers
The smallest number which when divided by 18, 21, 30 and 84 leaves a remainder 5 in e
ach case is
A. 1255
B. 955
C. 1265
D. 965
সঠিক উত্তর ও ব্যাখ্যা
EWU
22-23
SUMMER
মানসিক দক্ষতা(IQ)
সংখ্যাগত সমস্যা
IQ-6
Topic Practice (All Question)
1 answers
Ajar contains 10 red marbles and 30 green ones. How many red marbles must be added
to the jar so that 60% of the marbles will be red?
A. 25
B. 30
C. 35
D. 40
সঠিক উত্তর ও ব্যাখ্যা
EWU
22-23
SUMMER
মানসিক দক্ষতা(IQ)
গাণিতিক সমস্যা
IQ-4
Topic Practice (All Question)
1 answers
Identify the missing word from the given choices.
This idea will not work and so we have to come up a viable alternative
A. With
B. On
C. There
D. Over
E. About
সঠিক উত্তর ও ব্যাখ্যা
এই প্রশ্নের কোনো ব্যাখ্যা পাওয়া যায়নি।
EWU
22-23
SUMMER
ইংরেজি - গ্রামার ও ভোকাবুলারি
Preposition
Preposition
Topic Practice (All Question)
2 answers
He will need to____ a few years if he wants to make solid and realistic plans for his
business.
A. Look ahead
B. Look after
C. Look into
D. Look out for
E. Look alike
সঠিক উত্তর ও ব্যাখ্যা
এই প্রশ্নের কোনো ব্যাখ্যা পাওয়া যায়নি।
EWU
22-23
SUMMER
ইংরেজি - গ্রামার ও ভোকাবুলারি
Group verb/ Phrasal verb
Group verb/ Phrasal verb
Topic Practice (All Question)
2 answers
Three persons A, B, C whose salaries together amount Tk. 7200, spend 80%, 85% and 75% of their salaries respectively. If their savings are 8:9:20. Find salary of B
A. 2800
B. 1600
C. 3200
D. 2400
সঠিক উত্তর ও ব্যাখ্যা
EWU
22-23
SUMMER
মানসিক দক্ষতা(IQ)
গাণিতিক সমস্যা
IQ-4
Topic Practice (All Question)
1 answers
A small airplane can carry less than 1.050 pounds of luggage and mail. The mail for the day weighs 490 pounds. If each passenger brings 70 pounds of luggage, what is the greatest possible number of passengers that can be taken?
A. 15 passengers
B. 7 passengers
C. 8 passengers
D. 9 passengers
E. Blank
সঠিক উত্তর ও ব্যাখ্যা
EWU
22-23
SUMMER
মানসিক দক্ষতা(IQ)
গাণিতিক সমস্যা
IQ-4
Topic Practice (All Question)
1 answers
1
2
3
4
5
6
7
...
পরবর্তী
×
লগইন করুন
আমাকে মনে রাখুন (৩০ দিন)
লগইন
অ্যাকাউন্ট নেই?
রেজিস্ট্রেশন করুন
নতুন একাউন্ট
রেজিস্ট্রেশন শেষে অটো লগইন করুন
নিবন্ধন সম্পন্ন করুন
ইতিমধ্যে অ্যাকাউন্ট আছে? লগইন করুন
×
Select University / Category
Individual
Combined
University
AFMC
Agri
AIUB
AUST
Bangladesh.Navy
BAU
BOU
BRAC
BruR
BSFMSTU
BSMRMU
BSMRSTU
BU
BUET
BUP
BUTEX
BUTEX.TEXT
CKRUET
CoU
CU
CUET
CVASU
Dental
DU
DU.7Clg
DU.TECH
EWU
GAU
GST
HSTU
IU
IUB
IUT
JKKNIU
JnU
JU
JUST
KU
KUET
MBSTU
MEDICAL
MIST
NATIONAL.UNIVERSITY
NITOR
NSTU
NSU
Nursing
PSTU
PUST
RbU
RMSTU
RU
RUET
SAU
ShU
SUST
SylaU
UIU
SSC
Class 9-10
কুমিল্লা বোর্ড - SSC
চট্টগ্রাম বোর্ড - SSC
ঢাকা বোর্ড - SSC
দিনাজপুর বোর্ড - SSC
বরিশাল বোর্ড - SSC
ময়মনসিংহ বোর্ড - SSC
যশোর বোর্ড - SSC
রাজশাহী বোর্ড - SSC
সকল বোর্ড - Class 9
সকল বোর্ড - SSC
সমন্বিত বোর্ড - SSC
সিলেট বোর্ড - SSC
JSC
Class 8
সকল বোর্ড - JSC
Job
AB Bank
Agrani bank Ltd
Al-Arafah Islami Bank
Al-Arafah Islami Bank Ltd - Officer
Assistant Director
Assistant Director [General] .
Assit. Programmer, Sonali Bank, Rubali Bank, BD Krishi Bank
Bakhrabad Gas Distribution Company Limited,সহকারী ব্যবস্থাপক অর্থ/হিসাব
Bangladesh Bank
Bangladesh Development Bank
Bangladesh House Building Finance Corporation
Bangladesh land port authority [BSBK], Sub-Assistant engineer
Bangladesh Nursing and Midwifery Council
Bangladesh Shilpa Bank
Bank Alfalah Ltd- MTOs Recruitment Test
Bank Asia Ltd - Management Trainee
Bank Asia Ltd - Management Trainee Officer
Bank Asia Ltd - Management Trainees
Bank Asia Ltd - Trainee Officer
BASIC Bank Ltd
Basic bank recruitment ; auditor
BCS
BSMMU [পিজি],সিনিয়র স্টাফ নার্স
City Bank Ltd
Commerce Bank
Data Entry/Control Operator
DESCO Recruitment Test , Sub Station Attendant
Dhaka Bank Ltd
Dutch-Bangla Bank Ltd
Eastern Bank Ltd
Exim Bank Ltd
First Security Islami Bank Ltd
Global Islami Bank
Grammen Bank
IFIC Bank Ltd
Investment Corporation Of Bangladesh
Islami Bank Bangladesh Ltd [IBBL]
Jamuna Bank Ltd
Janata Bank Ltd
Karmasangsthan Bank
Krishi Bank
Management Trainee Officer [MTO]
Meghna Bank Ltd
Mercantile Bank Ltd
Microcredit Regulatory Authority [সহকারী পরিচালক]
Midland Bank ltd
Modhumoti Bank Ltd
National Bank Ltd
NCC Bank Ltd
NRBC BANK LTD.
NSI
Officer [Cash] -Sonali Bank, BD Development, BD Krishi Bank
Officer [General] -Ansar VDP Unnayan, BD House Building Finance Corporation
Officer [General],-Sonali, Janata, Bangladesh Krishi_Bangladesh Development bank
Oil and Gas Co. Ltd
One Bank Ltd
Palli Karma-Sahayak Foundation [PKSF]
Polli Sonchoy Bank
Premier Bank Ltd
Prime Bank Ltd
Probashi Kallyan Bank
Pubali Bank Ltd
Rajshahi Krishi Unnayan Bank
Rupali Bank Ltd
Rural Development Board - Officer
Rural Development Board - Officer.
Rural Development Board - Asst. Officer
Rural Development Board - Asst. Officer.
Sadharan Bima Corporation
Sadharan Bima Corporation - Assistant Manager
Samabaya Bank Ltd- Officer-
SBAC Bank PLC
Senior Officer [IT] - Sonali,Janata,BD Krishi,BD Development Bank Ltd
Senior Officer- 8 Bank Recruitment Test
Shahjalal Islami Bank Ltd
Similar to Bank Ltd
Social Islami Bank Ltd
Sonali and Janata Bank, Officer [IT]|
Sonali Bank Ltd
Sonali, Janata and Agrani Bank Offier
Sonali, Janata, Agrani and Rupali Bank Ltd. and RAKUB Officer Recruitment
Sonali, Rupali, Bangladesh Krishi, Rajshahi krishi unnayn,Investment Corporation of Bangladesh
Southeast Bank Ltd
Standard Bank Ltd
Three Combined Bank
Trust Bank Ltd
Two Combined Bank Recruitment Test - Officer
Two Combined Bank
Union Bank Ltd
United Commercial Bank Ltd [UCB]
Uttara Bank Ltd
অডিটর
অফিসার [ক্যাশ] নিয়োগ
অফিসার [সাধারণ]
অর্থ মন্ত্রণালয়
আইন, বিচার ও সংসদ বিষয়ক মন্ত্রণালয়ের সাব-রেজিস্ট্রার-
আইন, বিচার ও সংসদবিষয়ক মন্ত্রণালয়,সহকারী সচিব [ড্রাফটিং]-গোলাপ
আইসিবি ক্যাপিটাল ম্যানেজমেন্ট
আবহাওয়া অধিদপ্তর
আমদানি ও রপ্তানি [অফিস সহায়ক]
উপজেলা/থানা শিক্ষা অফিসার
এন.এ.টি.পি, মাঠ সহকারী,
ওয়েজ আর্নার্স কল্যাণ বোর্ড,উপ সহকারী পরিচালক
ওয়েজ আর্নার্স কল্যাণ বোর্ড,সহকারী পরিচালক
ওয়েজ আর্নার্স কল্যাণ বোর্ডের সহকারী পরিচালক/হিসাবরক্ষণ কর্মকর্তা
ঔষধ প্রশাসন অধিদপ্তর
কন্ট্রোলার জেনারেল ডিফেন্স ফাইনান্স এর কার্যালয়
কন্ট্রোলার জেনারেল ডিফেন্স ফাইন্যান্স- এর কার্যালয়ের অধীন অডিটর
কমিউনিটি বেইজড হেলথ কেয়ার
কম্পট্রোলার এন্ড অডিটর জেনারেল এর কার্যালয় [ওসিএজি] - অডিটর
কর্ণফুলী গ্যাস ডিস্ট্রিবিউশন কোম্পানি লি.,সার্ভেয়ার
কর্ণফুলী গ্যাস ডিস্ট্রিবিউশন কোম্পানী লিমিটেড,সহকারী ব্যবস্থাপক [সাধারণ]
কারা অধিদপ্তর,কারারক্ষী ও মহিলা কারারক্ষী
কারা অধিদপ্তর,কারারক্ষী ও মহিলা কারারক্ষী -২
কারিগরি ও মাদ্রাসা শিক্ষা বিভাগ [শিক্ষা মন্ত্রণালয়]- অফিস সহকারী কাম-কম্পিউটার মুদ্রাক্ষরিক
কারিগরি ও মাদ্রাসা শিক্ষা- প্র্রধান সহকারী/হিসাব রক্ষক/কম্পিউটার অপারেটর
কারিগরি শিক্ষা অধিদপ্তর
কিশোরগঞ্জ পল্লী বিদ্যুৎ সমিতি,মিটার রিডার কাম মেসেঞ্জার
কৃষি অধিদপ্তরের উপ-সহকারী কৃষি কর্মকর্তা-
কৃষি সম্প্রসারণ অধিদপ্তর
কোভিড - ইমার্জেন্সি প্রকল্প , ল্যাব এটেনডেন্ট
কোভিড- ইআরপিপি প্রকল্প নিয়োগ পরীক্ষা- , ওয়ার্ড বয়
ক্রীড়া পরিদপ্তর অফিস সহকারী কাম কম্পিউটার অপারেটর
ক্ষুদ্র ও কুটির শিল্প কর্পোরেশন,টেকনিক্যাল অফিসার
ক্ষুদ্র ও কুটির শিল্প কর্পোরেশন,প্রমোশন অফিসার
ক্ষুদ্র কৃষক উন্নয়ন ফাউন্ডেশন,মাঠ সংগঠক
খনিজ সম্পদ মন্ত্রণালয় সহকারী সচিব/সহকারী পরিচালক [প্রশাসন]
খাদ্য অধিদপ্তর
খাদ্য ও দুর্যোগ ব্যবস্থাপনা মন্ত্রণালয়,প্রকল্প বাস্তবায়ন কর্মকর্তা
গণপূর্ত অধিদপ্তর
গণমাধ্যম ইনস্টিটিউট,সহকারী পরিচালক [বেতার প্রকৌশল প্রশিক্ষণ]
গণমাধ্যম ইনস্টিটিউট,সহকারী পরিচালক[গণযোগাযোগ প্রশিক্ষণ]
গৃহায়ন ও গণপূর্ত মন্ত্রণালয়ের আবাসন পরিদপ্তরের সহকারী পরিচালক-
গ্যাস ট্রান্সমিশন কোম্পানি লিমিটেড
গ্রামীণ ব্যাংক,প্রবেশনারী অফিসার
জনতা ও রূপালী ব্যাংক- অফিসার
জনপ্রশাসন মন্ত্রণালয়
জনশক্তি, কর্মসংস্থান ও প্রশিক্ষণ ব্যুরো,অফিস সহকারী কাম কম্পিউটার অপারেটর
জনশক্তি, কর্মসংস্থান ও প্রশিক্ষণ ব্যুরো,অফিস সহায়ক
জাতীয় গণমাধ্যম ইন্সটিটিউট,ক্যাশিয়ার
জাতীয় গৃহায়ন কর্তৃপক্ষ,হিসাব সহকারী
জাতীয় নিরাপত্তা গোয়েন্দা সংস্থা [কম্পিউটার অপারেটর]
জাতীয় নিরাপত্তা গোয়েন্দা সংস্থা-ফিল্ড অফিসার-
জাতীয় বিশ্ববিদ্যালয়ের সেকশন অফিসার
জাতীয় রাজস্ব বোর্ড
জাতীয় সংসদ সচিবালায়ের সহকারী পরিচালক-
জীবণ বীমা কর্পোরেশন [সহকারী ম্যানেজার]
জীবন বীমা কর্পোরেশন
টেলিযোগাযোগ মন্ত্রণালয়ের সহকারী পরিচালক[আইন]-
ডাক অধিদপ্তর
ডাক ও টেলিযোগাযোগ মন্ত্রণালয়
ডাক জীবন বীমা, পূর্বাঞ্চল, ঢাকা,পিএলআই একাউন্টেন্ট
ডাক জীবনবীমা, সাঁটমুদ্রাক্ষরিক ও কম্পিউটার অপারেটর
ডাক বিভাগ [খুলনা বিভাগ], অফিস সহায়ক
ডাক বিভাগের পোস্টাল অপারেটর-
ডাক, টেলিযোগাযোগ ও তথ্যপ্রযুক্তি মন্ত্রণালয়ের সহকারী প্রোগ্রামার
ডেভেলপমেন্ট ইনিশিয়েটিক ফর সোশ্যাল এডভান্সমেন্ট [দিশা], ক্রেডিট অফিসার
ডেসকো জুনিয়র সহকারী ম্যানেজার . .
ডেসকো সহকারী কমপ্লেইন সুপারভাইজার . .
ঢাকা ইলেকট্রিক সাপ্লাই কোম্পানি , Assistant Engineer
ঢাকা ওয়াসা [সাব এসিসটেন্ট ইঞ্জিনিয়ার]
ঢাকা ওয়াসা,উপ-সহকারী প্রকৌশলী
ঢাকা দক্ষিণ সিটি কর্পোরেশন [হিসাব সহকারী]
ঢাকা পাওয়ার ডিস্ট্রিবিউশন কো. [ডিপিডিসি] - কমপ্লেইন সুপারভাইজার
ঢাকা পাওয়ার ডিস্ট্রিবিউশন কোম্পানী লিমিটেড [DPDC]
ঢাকা ম্যাস ট্রানজিট কোম্পানি লি. [মেট্রোরেল],টিকেট মেশিন অপারেটর
তথ্য ও যোগাযোগ প্রযুক্তি অধিদপ্তর , সহকারী প্রোগ্রামার
তথ্য মন্ত্রণালয়
দিনাজপুর পল্লী বিদ্যুৎ সমিতি,মিটার রিডার কাম মেসেঞ্জার
দুদক, কনস্টেবল
দুর্নীতি দমন কমিশন (দুদক)
দুর্নীতি দমন ব্যুরো
দুর্যোগ ও ত্রাণ মন্ত্রণালয় অডিটর . .
নন ক্যাডার : বাছাই পরীক্ষা , প্রশাসনিক কর্মকর্তা [মুক্তিযোদ্ধা কোটা],
নন-ক্যাডার : জনশক্তি, কর্মসংস্থান ও প্রশিক্ষণ ব্যুরো নিয়োগ পরীক্ষা, ইন্সট্রাক্টর,
নর্দান ইলেকট্রিসিটি সাপ্লাই কোম্পানি লি.,সহকারী শিক্ষক [মাধ্যমিক]
নার্সিং ও মিডওয়াইফারি অধিদপ্তর
নিউক্লিয়ার পাওয়ার প্ল্যান্ট কোম্পানি,Junior Executive Trainee [Electronics]
নিউক্লিয়ার পাওয়ার প্ল্যান্ট কোম্পানী বাংলাদেশ লিমিটেড,ইলেক্ট্রনিক মেইন্টেনেন্স
নিবন্ধন অধিদপ্তর,সাব-রেজিস্টার
নির্বাচন কমিশন সচিবালয় নিয়োগ পরীক্ষা-, উচ্চমান সহকারী,
নির্বাচন কমিশন সচিবালয় স্টোরকিপার . .
নির্বাচন কমিশন সচিবালয়,জেলা নির্বাচন অফিসার/সহকারী সচিব
নির্বাচন কমিশন সচিবালয়ে থানা/উপজেলা নির্বাচন অফিসার
নির্বাচন কমিশন সচিবালয়ের অধীন আইডিইএ প্রকল্প [২য় পর্যায়]| ডাটা এন্ট্রি অপারেটর এবং অফিস সহকারী কাম কম্পিউটার অপারেটর
নেত্রকোনা পল্লী বিদ্যুৎ সমিতি,মিটার রিডার কাম মেসেঞ্জার
পররাষ্ট্র মন্ত্রণালয়
পরিকল্পনা মন্ত্রণালয়,ডাটা প্রসেসিং অপারেটর
পরিবার পরিকল্পনা অধিদপ্তর
পরিবারকল্যাণ পরিদর্শিকা প্রশিক্ষণার্থী-৫
পরিবেশ অধিদপ্তর
পরিবেশ ও বন মন্ত্রণালয়ের রিসার্স অফিসার-
পরিসংখ্যান ও তথ্য ব্যবস্থাপনা অধিদপ্তরের পরিসংখ্যান কর্মকর্তা
পরিসংখ্যান ব্যুরোর জুনিয়র পরিসংখ্যান সহকারী-
পরিসংখ্যান ব্যুরোর ডাটা এন্ট্রি অপারেটর-
পল্লী উন্নয়ন একাডেমী [আরডিএ], বগুড়া, সহকারী পরিচালক-
পল্লী উন্নয়ন ও সমবায় অধিদপ্তর, একটি বাড়ি একটি খামার, মাঠ সহকারী, , সেট-ঘ
পল্লী উন্নয়ন ও সমবায় বিভাগ,অফিস সহায়ক
পল্লী উন্নয়ন ও সমবায় বিভাগের একটি বাড়ি একটি খামার প্রকল্পের জেলা সমন্বয়কারী
পল্লী উন্নয়ন ও সমবায় বিভাগের একটি বাড়ি একটি খামার প্রকল্পের উপজেলা সমন্বয়কারী
পল্লী কর্ম সহায়ক ফাউন্ডেশন সহকারী ব্যবস্থাপক . .
পল্লী কর্ম সহায়ক ফাউন্ডেশনের অ্যাসিসট্যান্ট ম্যানেজার
পল্লী দারিদ্র্য বিমোচন ফাউন্ডেশন - মাঠ কর্মকর্তা
পল্লী বিদ্যুতায়ন বোর্ড
পল্লী বিদ্যুৎ সমিতি - জুনিয়র ইঞ্জিনিয়ার
পল্লী বিদ্যুৎ সমিতি,লাইন ক্রু লেভেল-১ [চুক্তি ভিত্তিক]
পশ্চিমাঞ্চল গ্যাস কোম্পানী লিমিটেড,টেকনিশিয়ান
পাওয়ার গ্রিড কোম্পানি অব বাংলাদেশ,Technical Attendant
পাওয়ার গ্রিড বাংলাদেশ পিএলসি,কারিগরি সহায়ক/অফিস সহায়ক
পাওয়ার গ্রিড বাংলাদেশ পিএলসি,জুনিয়র হিসাব সহকারী
পানি উন্নয়ন বোর্ড
পায়রা বন্দর কর্তৃপক্ষ , অফিস সহায়ক
পায়রা বন্দর কর্তৃপক্ষ , উপসহকারী প্রকৌশলী সিভিল
পায়রা বন্দর কর্তৃপক্ষ [বিভিন্ন পদ]
পায়রা বন্দর কর্তৃপক্ষ, সহকারী সাব-ইন্সপেক্টর,
পাসপোর্ট অ্যান্ড ইমিগ্রেশন অধিদপ্তর,সহকারী পরিচালক
পিএসসি পিটিআই , শিক্ষক
পিকেএসএফ , সহকারী ব্যবস্থাপক
পিটিটিআই ইন্সট্রাক্টর
পেট্রোবাংলা হিসাব সহকারী
পোস্ট মাস্টার জেনারেল [পূর্বাঞ্চল, চট্রগ্রাম]-এর কার্যালয়ের পোস্টাল অপারেটর
পোস্টমাস্টার জেনারেল
পোস্টাল অপারেটর
প্রতিরক্ষা মন্ত্রণালয়
প্রতিরক্ষা মন্ত্রণালয়ের নিয়োগ পরিক্ষা-, সহকারী পরিচালক,
প্রত্নতত্ত্ব অধিদপ্তর,সহকারী কাস্টোডিয়ান/গবেষণা সহকারী
প্রধানমন্ত্রীর কার্যালয় ও মন্ত্রিপরিষদ কার্যালয়
প্রবাসী কল্যাণ ও বৈদেশিক কর্মসংস্থান
প্রভাষক নিবন্ধন ও প্রত্যয়ন পরীক্ষা
প্রাণিসম্পদ অধিদপ্তর - অফিস সহকারী কাম কম্পিউটার মুদ্রাক্ষরিক
প্রাণিসম্পদ অধিদপ্তর - ক্যাশিয়ার
প্রাণিসম্পদ অধিদপ্তর - ল্যাবরেটরি টেকনিশিয়ান
প্রাণিসম্পদ অধিদপ্তর,অফিস সহকারী কাম কম্পিউটার মূদ্রাক্ষরিক
প্রাণিসম্পদ অধিদপ্তর,ল্যাবরেটরী টেকনিশিয়ান
প্রাথমিক প্রধান শিক্ষক নিয়োগ পরীক্ষা
প্রাথমিক শিক্ষা অধিদপ্তর
প্রাথমিক সহকারী শিক্ষক নিয়োগ পরীক্ষা
ফায়ার সার্ভিস ও সিভিল ডিফেন্স অধিদপ্তর [পিএসসি], স্টেশন অফিসার [ তম গ্রেড]
ফায়ার সার্ভিস ও সিভিল ডিফেন্স অধিদপ্তর,ফায়ারফাইটার
বন অধিদপ্তর
বস্ত্র অধিদপ্তর,অফিস সহায়ক
বস্ত্র ও পাট মন্ত্রণালয়ের টেক্সাটাইল ইনস্টিউট ও টেক্সাটাইল ইঞ্জিয়ারিং কলেজ ইনস্ট্রাক্টর [ডিটিআই],
বহিরাগমন ও পাসপোর্ট অধিদপ্তরের সহকারী পরিচালক-
বাখরাবাদ গ্যাস ফিল্ড লি., সহকারী ব্যবস্থাপক [সাধারণ]
বাখরাবাদ গ্যাস ফিল্ড লি.,সহকারী ব্যবস্থাপক/সহকারী কর্মকর্তা
বাণিজ্য মন্ত্রণালয়,অফিস সহায়ক
বাণিজ্য মন্ত্রণালয়ের আমদানি-রপ্তানি অধিদপ্তরের নির্বাহী অফিসার-
বাপেক্স,সহকারী ব্যবস্থাপক
বাংলাদেশ অভ্যন্তরীণ নৌ- পরিবহন করপোরেশন, অফিস সহকারী কাম কম্পিউটার
বাংলাদেশ অর্থনৈতিক অঞ্চল কর্তৃপক্ষ [বেজা]
বাংলাদেশ আনসার ও গ্রাম প্রতিরক্ষা বাহিনী
বাংলাদেশ কম্পট্রোলার এন্ড অডিটর জেনারেল, সিনিয়র একাউন্টস ক্লার্ক
বাংলাদেশ কৃষি উন্নয়ন কর্পোরেশন [বিএডিসি], উপসহকারী প্রকৌশলী
বাংলাদেশ কৃষি উন্নয়ন কর্পোরেশন
বাংলাদেশ কৃষি উন্নয়ন কর্পোরেশন [BADC]
বাংলাদেশ কৃষি উন্নয়ন কর্পোরেশেনের বিভিন্ন পদ,
বাংলাদেশ ক্যামিকেল ইন্ডাস্ট্রিজ কর্পোরেশন- Assistant Administrative Officer
বাংলাদেশ ক্ষুদ্র ও কুটির শিল্প করপোরেশন,শিল্পনগরী কর্মকর্তা/ ঊর্ধ্বতন সমন্বয় কর্মকর্তা/ প্রকাশনা কর্মকর্তা/ সাব-কন্ট্রাকটিং কর্মকর্তা
বাংলাদেশ ক্ষুদ্র ও কুটির শিল্প করপোরেশন[বিসিক]- চিফ অডিটর
বাংলাদেশ ক্ষুদ্র ও কুটির শিল্প করপোরেশন[বিসিক]- প্রমোশন অফিসার/এক্সটেনশন অফিসার/অন্যান্য পদ
বাংলাদেশ গ্যাস ফিল্ড কোম্পানি সহকারী ব্যবস্থাপক-
বাংলাদেশ গ্যাস ফিল্ড, সহকারী-ব্যবস্থাপক
বাংলাদেশ গ্যাস ফিল্ডস লি.-সাব-এসিস্ট্যান্ট ইঞ্জিনিয়ার
বাংলাদেশ জুটমিল কর্পোরেশনের অফিসার
বাংলাদেশ টেলিভিশন,উপ-সহকারী প্রকৌশলী ,
বাংলাদেশ টেলিযোগাযোগ নিয়ন্ত্রণ কমিশন , সহকারী পরিচালক
বাংলাদেশ টেলিযোগাযোগ নিয়ন্ত্রণ কমিশন [উপ-সহকারী পরিচালক]
বাংলাদেশ ট্যারিফ কমিশন, গবেষণা কর্মকর্তা,
বাংলাদেশ ডাক বিভাগ
বাংলাদেশ তেল, গ্যাস ও খনিজসম্পদ কর্পোরেশন [পেট্রোবাংলা],সহকারী ব্যবস্থাপক
বাংলাদেশ নির্বাচন কমিশন
বাংলাদেশ নৌবাহিনী
বাংলাদেশ ন্যাশনাল ক্যাডেট কোর অধিদপ্তর [অফিস সহকারী]
বাংলাদেশ ন্যাশনাল ক্যাডেট কোর অধিদপ্তর,অফিস সহকারী
বাংলাদেশ পরমাণু শক্তি কমিশন,অফিস অ্যাসিস্ট্যান্ট কাম কম্পিউটার টাইপিং
বাংলাদেশ পরমাণু শক্তি কমিশন,একাউন্টস এসিস্ট্যান্ট
বাংলাদেশ পরিসংখ্যান ব্যুরো
বাংলাদেশ পল্লী উন্নয়ন একাডেমি [বার্ড] - সহকারী পরিচালক
বাংলাদেশ পল্লী উন্নয়ন বোর্ড
বাংলাদেশ পল্লী উন্নয়ন বোর্ড [BRDB],সহকারী পল্লী উন্নয়ন কর্মকর্তা
বাংলাদেশ পল্লী বিদ্যুতায়ন বোর্ড
বাংলাদেশ পাবলিক সার্ভিস কমিশন
বাংলাদেশ পেট্রোলিয়াম ইনস্টিটিউট [সহকারী পরিচালক]
বাংলাদেশ প্রতিযোগিতা কমিশন ব্যক্তিগত সহকারী
বাংলাদেশ বনশিল্প উন্নয়ন কর্পোরেশন সহকারী ব্যবস্থাপক-
বাংলাদেশ বনশিল্প উন্নয়ন কর্পোরেশন,নিরাপত্তা প্রহরী
বাংলাদেশ বনশিল্প উন্নয়ন কর্পোরেশন,সহকারী ভাণ্ডার রক্ষক
বাংলাদেশ বার কাউন্সিল
বাংলাদেশ বিদ্যুৎ উন্নয়ন বোর্ডের সহকারী পরিচালক [প্রশাসন]-
বাংলাদেশ বিমান এয়ারলাইন্স,গ্রাউন্ড সার্ভিস অ্যাসিস্টেন্ট
বাংলাদেশ বেতার সহ-সম্পাদক
বাংলাদেশ বেসরকারি বিমান চলাচল কর্তৃপক্ষ,এরোড্রাম কর্মকর্তা [এটিএম:এটিসিও]/ইন্সপেক্ট [এটিসি]/অন্যান্য
বাংলাদেশ বেসামরিক বিমান চলাচল কর্তৃপক্ষ
বাংলাদেশ বেসামারিক বিমান চলাচল কর্তৃপক্ষ [CAAB],মেডিকেল অফিসার / এরোড্রাম সহকারী
বাংলাদেশ ব্যাংক
বাংলাদেশ মেডিকেল ষ্টাডিজ এন্ড রিসার্স ইনষ্টিটিউট - সিনিয়র ষ্টাফ নার্স
বাংলাদেশ রপ্তানি প্রক্রিয়াকরণ এলাকা কর্তৃপক্ষ [BEPZA],উপসহকারী প্রকৌশলী [বিদ্যুৎ]
বাংলাদেশ রপ্তানি প্রক্রিয়াকরণ কর্তৃপক্ষ [সহকারী ম্যানেজার]
বাংলাদেশ রেলওয়ে
বাংলাদেশ রেলওয়ে,উপ-সহকারী প্রকৌশলী
বাংলাদেশ রেলওয়ে,খালাসী
বাংলাদেশ লোক প্রশাসন প্রশিক্ষণ কেন্দ্র . .
বাংলাদেশ শিপিং কর্পোরেশন নিয়োগ-, অডিটর, উচ্চমান সহকারী,
বাংলাদেশ সড়ক পরিবহন কর্তৃপক্ষ,মোটরযান পরিদর্শক
বাংলাদেশ সড়ক পরিবহন কর্তৃপক্ষ,সহকারী পরিচালক [ইঞ্জিনিয়ারিং]
বাংলাদেশ সড়ক পরিবহন কর্পোরেশন,কন্ডাক্টর-ডি
বাংলাদেশ সরকারি কর্ম কমিশন [PSC]
বাংলাদেশ সরকারী কর্ম কমিশন,নার্সিং ও মিডওয়াইফারি অধিদপ্তর, মিডওয়াইফ
বাংলাদেশ সিকিউরিটি প্রিন্টিং কর্পোরেশন,Assistant Manager [Production Control]
বাংলাদেশ সিকিউরিটিজ অ্যান্ড এক্সচেঞ্জ কমিশন[ব্যক্তিগত কর্মকর্তা]
বাংলাদেশ সিকিউরিটিজ অ্যান্ড এক্সচেঞ্জ কমিশন[সহকারী পরিচালক]
বাংলাদেশ সুপ্রিম কোর্ট [হাইকোর্ট বিভাগ],প্রটোকল অফিসার
বাংলাদেশ সেতু কর্তৃপক্ষ [সহকারী পরিচালক]
বাংলাদেশ সেতু কর্তৃপক্ষ [সহকারী সাব-ইঞ্জিনিয়ার]
বাংলাদেশ স্থল বন্দর কর্তৃপক্ষ,Warehouse/Yard Superintendent
বাংলাদেশ স্থলবন্দর কর্তৃপক্ষ , ওয়ারহাউস সুপারিনটেনডেন্ট ও ক্যাশিয়ার
বি এডিসি সহকারী অ্যাকাউন্ট অফিসার . .
বিআরডিবি'র উপজেলা পল্লী উন্নয়ন কর্মকর্তা-
বিটিআরসি, কন্ডাক্টর ডি
বিটিসিএল,জুনিয়র অ্যাসিস্ট্যান্ট ম্যানেজার
বিদ্যুৎ উন্নয়ন বোর্ড,নিম্নমান হিসাব সহকারী
বিদ্যুৎ উন্নয়ন বোর্ড,নিরাপত্তা প্রহরী
বিদ্যুৎ উন্নয়ন বোর্ডের অফিস সহকারী-
বিদ্যুৎ উন্নয়ন বোর্ডের উপ-সহকারী-
বিদ্যুৎ, জ্বালানি ও খনিজ সম্পদ মন্ত্রণালয়,নর্দান ইলেকট্রিসিটি সাপ্লাই কোম্পানি পিএলসি,সাব-স্টেশন অ্যাটেনডেন্ট
বিদ্যুৎ, জ্বালানি ও খনিজ সম্পদ মন্ত্রণালয়,সহকারী বিস্ফোরক পরিদর্শক
বিভিন্ন মন্ত্রণালয়, বিভাগ , অধিদপ্তর, প্রশাসনিক কর্মকর্তা ,
বিভিন্ন মন্ত্রণালয়, ব্যক্তিগত কর্মকর্তা
বিভিন্ন মন্ত্রণালয়, সহকারী ম্যানটেনেন্স প্রকৌশলী
বিভিন্ন মন্ত্রণালয়/অধিদপ্তর প্রশাসনিক কর্মকর্তা
বিভিন্ন মন্ত্রণালয়/বিভাগ/অধিদপ্তর, প্রশাসনিক কর্মকর্তা [মুক্তিযোদ্ধা],
বিভিন্ন মন্ত্রণালয়/বিভাগ/অধিদপ্তর, ব্যক্তিকর্তা,
বিভিন্ন মন্ত্রণালয়/বিভাগ/অধিদপ্তর, ব্যক্তিগত কর্মকর্তা [সাধারণ]
বিভিন্ন মন্ত্রণালয়ের উপ-সহকারী প্রকৌশলী [সিভিল]
বিভিন্ন মন্ত্রণালয়ের সহকারী প্রোগ্রামার
বিভিন্ন মন্ত্রণালয়ের সহকারী মেইন্টেন্যান্স ইঞ্জিনিয়ার
বিমান চলাচল কর্তৃপক্ষ,[প্রকিউরমেন্ট অফিসার / ইন্সপেক্টর]
বিমান বাংলাদেশ এয়ারলাইন্স
বিমান বাংলাদেশ এয়ারলাইন্স লিমিটেড,ট্রাফিক হেলপার
বিমান_বাংলাদেশ এয়ারলাইনস, গ্রাউন্ড সার্ভিস অ্যাসিস্ট্যান্ট
বিসিআইসি, সহকারী প্রকৌশলী [কমার্শিয়াল]
বিসিআইসি,সহকারী প্রশাসনিক কর্মকর্তা
বুয়েট ও অন্যান্য পরীক্ষা
বেসামরিক বিমান ও পর্যটন মন্ত্রণালয়,প্রশাসনিক কর্মকর্তা
বেসামরিক বিমান চলাচল কর্তৃপক্ষ,ইন্সপেক্টর / সিনিয়র অফিসার / নিরাপত্তা কর্মকর্তা
বেসামরিক বিমান চলাচল কর্তৃপক্ষ,সহকারী নিরাপত্তা কর্মকর্তা
বেসামরিক বিমান চলাচল কর্তৃপক্ষ,সিনিয়র অফিসার
ভূমি মন্ত্রণালয় , নিরীক্ষক
ভূমি রেকর্ড ও জরিপ অধিদপ্তর - কপিস্ট-কাম-বেঞ্চ সহকারী
মৎস ও প্রাণী সম্পদ মন্ত্রণালয় মাঠ সহকারী
মৎস্য অধিদপ্তর কর্মচারী নিয়োগ। অফিস সহায়ক।
মৎস্য অধিদপ্তর কর্মচারী নিয়োগ। সাঁটমুদ্রাক্ষরিক কাম-কম্পিউটার অপারেটর।
মৎস্য অধিদপ্তর নিয়োগ পরীক্ষা-, অফিস সহকারী কাম কম্পিউটার মুদ্রাক্ষরিক,
মৎস্য অধিদপ্তর নিয়োগ পরীক্ষা-, হিসাবরক্ষক
মন্ত্রিপরিষদ বিভাগ,অফিস সহকারী কাম-কম্পিউটার মুদ্রাক্ষরিক
মন্ত্রিপরিষদ বিভাগ,অফিস সহায়ক
ময়মনসিংহ পল্লী বিদ্যুৎ সমিতি,মিটার রিডার কাম মেসেঞ্জার
মহা হিসাব নিরীক্ষক ও নিয়ন্ত্রক-এর অধীন অডিটর-
মহা হিসাব নিরীক্ষক ও নিয়ন্ত্রক-এর অধীন জুনিয়র অডিটর-
মহা হিসাব নিরীক্ষক ও নিয়ন্ত্রকের কার্যালয়ের অধীন অডিটর-
মহা হিসাব নিরীক্ষক ও নিয়ন্ত্রকের কার্যালয়ের অধীন জুনিয়র অডিটর-
মহিলা ও শিশুবিষয়ক মন্ত্রণালয়ের অধীন উপজেলা মহিলা বিষয়ক কর্মকর্তা
মহিলা ও শিশুবিষয়ক মন্ত্রণালয়ের অধীন উপজেলা মহিলা বিষয়ক কর্মকর্তা-
মহিলা বিষয়ক অধিদপ্তরের উপজেলা মহিলা কর্মকর্তা-
মাইক্রোক্রেডিট রেগুলেটরী অথরিটি,সহকারী পরিচালক
মাদকদ্রব্য নিয়ন্ত্রণ অধিদপ্তর
মাদ্রাসা শিক্ষা বোর্ড - HSC
মাদ্রাসা শিক্ষা বোর্ড - দাখিল
মাধ্যমিক ও উচ্চ মাধ্যমিক শিক্ষা অধিদপ্তর , কম্পিউটার মুদ্রাক্ষরিক
মাধ্যমিক ও উচ্চ মাধ্যমিক শিক্ষা অধিদপ্তর,হিসাব সহকারী
মাধ্যমিক ও উচ্চ শিক্ষা অধিদপ্তর
মাধ্যমিক ও উচ্চ শিক্ষা অধিদফতর - উচ্চমান সহকারী -
মাধ্যমিক ও উচ্চ শিক্ষা অধিদফতর - ল্যাবরেটরি সহকারী -
মাধ্যমিক ও উচ্চশিক্ষা অধিদপ্তর, ক্যাশিয়ার, স্টোর কিপার
মাধ্যমিক সহকারী শিক্ষক নিয়োগ পরীক্ষা
মানিকগঞ্জ পল্লী বিদ্যুৎ সমিতি,মিটার রিডার কাম ম্যাসেঞ্জার [১ বছর মেয়াদে চুক্তিভিত্তিক]
মোংলা বন্দর কর্তৃপক্ষ,জুনিয়র আউটডোর এসিস্টেন্ট
যুব উন্নয়ন অধিদপ্তর
যুব উন্নয়ন অধিদপ্তর ক্রেডিট সুপারভাইজার
যুব ও ক্রীড়া মন্ত্রণালয়ের যুব উন্নয়ন অধিদপ্তর, ক্যাশিয়ার,
রাজধানী উন্নয়ন কর্তৃপক্ষ [রাজউক] - সহকারী পরিচালক
রাজধানী উন্নয়ন কর্তৃপক্ষ [রাজউক],ইমারত- পরিদর্শক
রেলপথ মন্ত্রণালয়
শিক্ষক নিবন্ধন ও প্রত্যয়ন পরীক্ষা
শিক্ষা প্রকৌশল অধিদপ্তর
শিক্ষা মন্ত্রণালয়; সড়ক পরিবহন ও সেতু ; গৃহায়ণ ও গণপূর্ত মন্ত্রণালয়, উপ-সহকারী প্রকৌশলী [সিভিল]
শিল্প মন্ত্রণালয়ের অধীন বিসিআইসি, সহকারী রসায়নবিদ,
শিল্প মন্ত্রণালয়ের অধীন বিসিআইসি, সহকারী ব্যবস্থাপক [প্রশাসন],
শিল্প মন্ত্রণালয়ের অধীন বিসিআইসি'র সহকারী ব্যবস্থাপক-
শ্রম অধিদপ্তর,শ্রম কর্মকর্তা/জনসংখ্যা ও পরিবারকল্যাণ কর্মকর্তা
শ্রম ও কর্মসংস্থান মন্ত্রণালয়
শ্রম পরিদপ্তর,জনশক্তি, কর্মসংস্থান ও প্রশিক্ষণ ব্যুরো,উপসহকারী পরিচালক
শ্রম পরিদপ্তরে জনসংখ্যা ও পরিবারকল্যাণ কর্মকর্তা
ষষ্ঠ শ্রেণি (মাধ্যমিক)
সড়ক ও জনপথ অধিদপ্তর
সড়ক ও জনপথ অধিদপ্তরের উপসহকারী প্রকৌশলী-
সড়ক পরিবহন ও সেতু মন্ত্রণালয়ের অধীন বিআরটিএ'র মোটরযান পরিদর্শক
সমন্বিত ব্যাংক
সমন্বিত ৪ ব্যাংক - সহকারী প্রোগ্রামার
সমন্বিত ৫ ব্যাংক
সমন্বিত ৬ ব্যাংক ও আর্থিক প্রতিষ্ঠান - সহকারী প্রোগ্রামার
সমন্বিত ৬ [ব্যাংক] ও ২ টি আর্থিক প্রতিষ্ঠান - সিনিয়র অফিসার
সমন্বিত ৭ ব্যাংক
সমন্বিত ৭ ব্যাংক ও ১টি আর্থিক
সমন্বিত ৮ ব্যাংক
সমন্বিত ৮ ব্যাংক ও ১ টি আর্থিক প্রতিষ্ঠান
সমন্বিত ৮টি ব্যাংক ও ১টি আর্থিক প্রতিষ্ঠান
সমন্বিত ৯ ব্যাংক
সমন্বিত পাঁচ ব্যাংক
সমন্বিত ব্যাংক অফিসার [ক্যাশ]
সমবায় অধিদপ্তর , অফিস সহায়ক
সমবায় অধিদপ্তর , কম্পিউটার অপারেটর ,
সমবায় অধিদপ্তর , পরিদর্শক / প্রশিক্ষক
সমবায় অধিদপ্তর , সহকারী পরিদর্শক/মহিলা সহকারী পরিদর্শক
সমবায় অধিদপ্তর , সহকারী প্রশিক্ষক
সমাজকল্যাণ মন্ত্রণালয়
সমাজসেবা অধিদপ্তর
সরকারি কর্মকমিশন [পিএসসি],ইলেকট্রিক্যাল ইন্সপেক্টর
সরকারি শারীরিক শিক্ষা কলেজ,প্রভাষক
সংসদ সচিবালয় , ব্যাক্তিগত কর্মকর্তা [নন ক্যাডার]
সংস্থাপন মন্ত্রণালয়ের প্রশাসনিক কর্মকর্তা-
সহকারী জজ নিয়োগ পরীক্ষা
সহকারী পরিচালক
সহকারী পরিবার পরিকল্পনা
সাধারণ পুলের আওতায় বিভিন্ন মন্ত্রনালয়ের সহকারী প্রোগ্রামার, উপসহকারী প্রকৌশলী, প্রশাসনিক কর্মকর্তা ও ব্যক্তিগত কর্মকর্তা-
সাধারণ বীমা কর্পোরেশন
সামরিক ভূমি ও ক্যান্টনমেন্ট অধিদপ্তর [জুনিয়র শিক্ষক]
সামরিক ভূমি ও ক্যান্টনমেন্ট অধিদপ্তর,জুনিয়র শিক্ষক
সামরিক ভূমি ও ক্যান্টনমেন্ট অধিদপ্তর,প্রভাষক, প্রদর্শক ও জুনিয়র শিক্ষক
সিকিউরিটি প্রিন্টিং কর্পোরেশন বাংলাদেশ, সহকারী ব্যবস্থাপক-
সিজিএ নিয়োগ পরীক্ষা, অফিস সহায়ক
সিজিএ, কম্পিউটার মুদ্রাক্ষরিক
সিজিডিএফ
সিভিল সার্জন এর কার্যালয়, পাবনা,স্বাস্থ্য সহকারি
সিভিল সার্জন কার্যালয়, কুমিল্লা,স্বাস্থ্য সহকারী
সিভিল সার্জনের কার্যালয়, ব্রাহ্মণবাড়িয়া - স্বাস্থ্য সহকারী
সুন্দরবন গ্যাস কোম্পানি লিমিটেড,সিনিয়র টেকনিশিয়ান
সুন্দরবন গ্যাসফিল্ড [সহকারী কো-অর্ডিনেটর অফিসার]
সুপারিনটেনডেন্ট
সুরক্ষা সেবা বিভাগ - কারা অধিদপ্তর - ডিপ্লোমা নার্স [ম গ্রেড]
সেকেন্ডারি এডুকেশন সেক্টর ইনভেস্টমেন্ট প্রোগ্রাম [SESIP], সহকারী পরিদর্শক,
সেকেন্ডারি এডুকেশন সেক্টর ইনভেস্টমেন্ট প্রোগ্রাম সহকারী থানা মাধ্যমকিক শিক্ষা কর্মকর্তা-
সোনালী ও জনতা ব্যাংক - অফিসার[আইটি]
সোনালী ও ডিবিবিএল ব্যাংক- সিনিয়র অফিসার [আইটি]
স্থানীয় সরকার প্রকৌশল অধিদপ্তর- LGED [হিসাব সহকারী]
স্থানীয় সরকার পল্লী উন্নয়ন ও সমবায় মন্ত্রণালয়ের সহকারী প্রকৌশলী [সিভিল]
স্থানীয় সরকার প্রকৌশল অধিদপ্তর
স্থানীয় সরকার প্রকৌশল অধিদপ্তর [LGED], কমিউনিটি অর্গানাইজার
স্থানীয় সরকার প্রকৌশল অধিদপ্তর [LGED],কার্যসহকারী
স্বরাষ্ট্র মন্ত্রণালয়
স্বাস্থ্য অধিদপ্তর
স্বাস্থ্য ও পরিবারকল্যাণ মন্ত্রণালয়
স্বাস্থ্য প্রকৌশল অধিদপ্তর
স্বাস্থ্য মন্ত্রণালয়
হিসাব মহানিয়ন্ত্রকের কার্যালয় [সিজিএ], জুনিয়র অডিটর
হিসাব_মহানিয়ন্ত্রক [সিজিএ], অডিটর
HSC
Class 11-12
কুমিল্লা বোর্ড - HSC
চট্টগ্রাম বোর্ড - HSC
ঢাকা বোর্ড - HSC
দিনাজপুর বোর্ড - HSC
বরিশাল বোর্ড - HSC
ময়মনসিংহ বোর্ড - HSC
যশোর বোর্ড - HSC
রাজশাহী বোর্ড - HSC
সকল বোর্ড - HSC
সমন্বিত বোর্ড - HSC
সিলেট বোর্ড - HSC
Others
CC
চতুর্থ শ্রেণি (প্রাথমিক)
পঞ্চম শ্রেণি (প্রাথমিক)
সকল বোর্ড - Class-6
সকল বোর্ড - Class-7
সাধারণ জ্ঞান
AAP BEP
AAP EAP
AAP MAP
AAP VAP
ABP
EAP
JOB
JU-PHY
MAP
Onushiloni MCQ HSC
qb5
RETINA
The.Paraffin.Classroom
Unmesh
Unmesh.Practice.Book
VAP
বেসামরিক বিমান চলাচল কর্তৃপক্ষ,নিরাপত্তা অপারেটর
সিলেট গ্যাস ফিল্ড লি. , সহকারী ব্যবস্থাপক [জেনারেল] [- ]
Combined Categories
AGRI GST (6)
DU-RU-CU-JU (4)
Engineering (6)
GST (14)
MEDICAL Combined (4)
NATIONAL.UNIVERSITY (1)
Private University (7)
Varsity (29)
×
Share this Quiz
Share with your friends
Facebook
WhatsApp
Telegram
Twitter
Copy Link
Others