A. বেগের সমানুপাতে বৃদ্ধি পায়
B. কমে যাবে
C. একই থাকবে
D. বৃদ্ধি পাবে
সঠিক উত্তরঃ D. বৃদ্ধি পাবে
Explanation:

Another Explanation (5):
আইনস্টাইনের বিশেষ আপেক্ষিকতা তত্ত্ব (Special Relativity) অনুসারে, কোনো বস্তুর বেগ বাড়লে তার ভর বৃদ্ধি পায়। এটি একটি বহুল পরিচিত এবং পরীক্ষিত ধারণা। 🤔
ভর বৃদ্ধির বিষয়টি ব্যাখ্যা করার জন্য প্রথমে কয়েকটি বিষয় জানা দরকার:
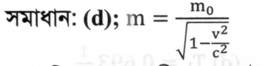
আপেক্ষিক ভর এবং স্থির ভরের মধ্যে সম্পর্ক নিচের সূত্র দ্বারা প্রকাশ করা হয়:
m = m₀ / √(1 - v²/c²)
এখানে:
উপরের সূত্র থেকে দেখা যায়, যখন বস্তুর বেগ (v) আলোর বেগের (c) কাছাকাছি হতে থাকে, তখন v²/c² এর মান 1 এর কাছাকাছি হতে থাকে। ফলে √(1 - v²/c²) এর মান কমতে থাকে। যেহেতু m₀ কে √(1 - v²/c²) দিয়ে ভাগ করা হচ্ছে, তাই √(1 - v²/c²) এর মান কমার সাথে সাথে m এর মান অর্থাৎ আপেক্ষিক ভর বাড়তে থাকে।
একটি টেবিলের মাধ্যমে বিষয়টি আরও পরিষ্কার করা যাক:
| বেগের শতকরা হার (আলোর বেগ) | আপেক্ষিক ভর (গুণিতক) |
|---|---|
| 0% | 1 (কোনো পরিবর্তন নেই) |
| 50% | 1.15 |
| 90% | 2.29 |
| 99% | 7.09 |
| 99.9% | 22.37 |
উপরের টেবিল থেকে স্পষ্ট যে, যখন বেগ আলোর বেগের কাছাকাছি যাচ্ছে, তখন ভর অনেকগুণ বৃদ্ধি পাচ্ছে। 😲
ভর বৃদ্ধির এই ধারণাটি পার্টিকেল ফিজিক্স এবং কণাaccelerator (Particle accelerator) এর ক্ষেত্রে খুবই গুরুত্বপূর্ণ। কণাaccelerator এ কণাগুলোকে আলোর খুব কাছাকাছি বেগে ত্বরান্বিত করা হয়। ⚛️
আশা করি, আপেক্ষিক তত্ত্ব অনুসারে বস্তুর বেগ বাড়লে ভর কীভাবে বৃদ্ধি পায়, তা তোমরা বুঝতে পেরেছ। 🥳