Download Address Academy - Best Offline Education App

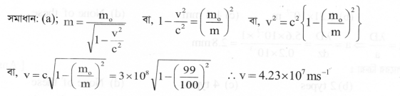
একজন লোকের ভর 99 Kg।কত বেগের উড়ন্ত রকেটে থাকাকালীন মাটিতে অবস্থিত একজন পর্যবেক্ষকের নিকট তার ভর 100 Kg হবে?

A. 4.23×107m/sec

B. 1.41×107 m/sec

C. 9×10m/sec

D. None of these

Poster Download
CUET2011ভরের আপেক্ষিকতাপদার্থবিজ্ঞান দ্বিতীয় পত্রআধুনিক পদার্থবিজ্ঞানের সূচনাCUET - ⚡ অনলাইন প্রশ্নব্যাংক দেখুন 💥
Join Telegram

প্রশ্নঃ একজন লোকের ভর 99 Kg।কত বেগের উড়ন্ত রকেটে থাকাকালীন মাটিতে অবস্থিত একজন পর্যবেক্ষকের নিকট তার ভর 100 Kg হবে?

সঠিক উত্তরঃ A. 4.23×107m/sec

Explanation:

যে কোন ইউনিভার্সিটির চ্যাপটার ওয়াইজ , টপিক অনুযায়ী, এনালাইসিস সহ প্রশ্ন ব্যাংক দেখতে প্রশ্ন ব্যাংক দেখতে সম্পূর্ণ ভিডিওগুলো দেখুন