Download Address Academy - Best Offline Education App

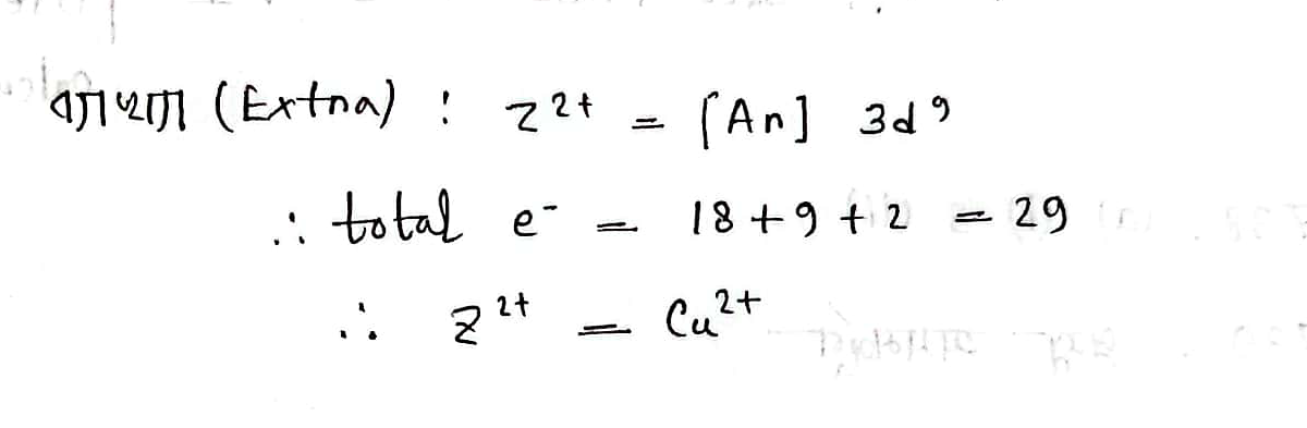
প্রশ্ন-২০১Z2+ = [Ar] 3d9 4s0 Z মৌলটি শিখা-পরীক্ষায় কোন বর্ণ সৃষ্টি করে?

A. সোনালী হলুদ

B. ইটের ন্যায় লাল 

C. নীলাভ সবুজ 

D. হলুদাভ সবুজ 

Poster Download
Onushiloni MCQ HSCHazariরসায়ন প্রথম পত্রগুণগত রসায়নOnushiloni MCQ HSC - ⚡ অনলাইন প্রশ্নব্যাংক দেখুন 💥
Join Telegram

প্রশ্নঃ

প্রশ্ন-২০১Z2+ = [Ar] 3d9 4s0 Z মৌলটি শিখা-পরীক্ষায় কোন বর্ণ সৃষ্টি করে?

সঠিক উত্তরঃ C. নীলাভ সবুজ 

Explanation:

যে কোন ইউনিভার্সিটির চ্যাপটার ওয়াইজ , টপিক অনুযায়ী, এনালাইসিস সহ প্রশ্ন ব্যাংক দেখতে প্রশ্ন ব্যাংক দেখতে সম্পূর্ণ ভিডিওগুলো দেখুন