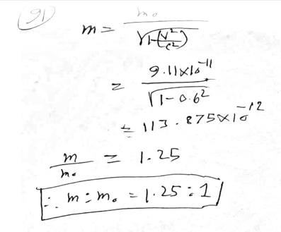
একটি ইলেকট্রনের নিশ্চল ভর m0= 9.11×10-11 kg। ইলেকট্রনটি 0.6 c দ্রুতিতে গতিশীল।
উদ্দীপক অনুসারে চলমান ভর ও নিশ্চল ভরের অনুপাত কত?
A.
0.8 : 1
B.
1.25 : 1
C.
1.56 : 1
D.
1.58 : 1
একটি ইলেকট্রনের নিশ্চল ভর m0= 9.11×10-11 kg। ইলেকট্রনটি 0.6 c দ্রুতিতে গতিশীল।
উদ্দীপক অনুসারে চলমান ভর ও নিশ্চল ভরের অনুপাত কত?
সঠিক উত্তরঃ B.
1.25 : 1
Explanation:

Another Explanation (5): ```html
উদ্দীপক অনুসারে, একটি ইলেকট্রনের নিশ্চল ভর \( m_0 = 9.11 \times 10^{-31} \) kg এবং বেগ \( v = 0.6c \)। আমাদের চলমান ভর \( m \) এবং নিশ্চল ভরের \( m_0 \) অনুপাত নির্ণয় করতে হবে। 🧐 আমরা জানি, আইনস্টাইনের আপেক্ষিকতা তত্ত্ব অনুযায়ী চলমান ভর \( m \) এবং নিশ্চল ভর \( m_0 \) এর মধ্যে সম্পর্ক হলো: \( m = \frac{m_0}{\sqrt{1 - \frac{v^2}{c^2}}} \) এখানে, \( c \) হলো আলোর বেগ। 💡 তাহলে, \( \frac{m}{m_0} = \frac{1}{\sqrt{1 - \frac{v^2}{c^2}}} \) এখন, \( v = 0.6c \) বসিয়ে পাই, \( \frac{m}{m_0} = \frac{1}{\sqrt{1 - \frac{(0.6c)^2}{c^2}}} \) \( \frac{m}{m_0} = \frac{1}{\sqrt{1 - 0.36}} \) \( \frac{m}{m_0} = \frac{1}{\sqrt{0.64}} \) \( \frac{m}{m_0} = \frac{1}{0.8} \) \( \frac{m}{m_0} = 1.25 \) সুতরাং, চলমান ভর ও নিশ্চল ভরের অনুপাত \( 1.25 : 1 \)। 🎉 ```