Download Address Academy - Best Offline Education App

এককের একটি জটিল ঘনমূল ω হলে, (1−ω)(1−ω2)(1−ω4) এর মান কত?

A. 9

B. 3−3

C. 9+9ω2

D. 3

Poster Download
EAPঘনমূল সংক্রান্তWeeklyAll-SubEAP - ⚡ অনলাইন প্রশ্নব্যাংক দেখুন 💥
Join Telegram

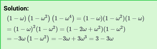
প্রশ্নঃ এককের একটি জটিল ঘনমূল ω হলে, (1−ω)(1−ω2)(1−ω4) এর মান কত?

সঠিক উত্তরঃ B. 3−3

Explanation:

যে কোন ইউনিভার্সিটির চ্যাপটার ওয়াইজ , টপিক অনুযায়ী, এনালাইসিস সহ প্রশ্ন ব্যাংক দেখতে প্রশ্ন ব্যাংক দেখতে সম্পূর্ণ ভিডিওগুলো দেখুন