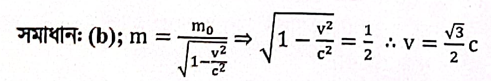
A. 1/3 c
B. √3/2 c
C. 1/√2 c
D. 3/2 c
সঠিক উত্তরঃ B. √3/2 c
Explanation:
আলোর গতিতে চলমান একটি বস্তু কণার ভর -
একটি কণার মোট আপেক্ষিক শক্তি হলো 10Joule এবং এর আপেক্ষিক ভরবেগ হলো 8Joule/c. যেখানে c-শূন্য মাধ্যমে আলোর বেগ। Joule/c এককে কণাটির স্থির/নিশ্চল ভরের মান কত?
একজন নভোচারী রকেটে করে 0.1c বেগে পৃথিবী হতে মজাল গ্রহের উদ্দেশ্যে Y- অক্ষ বরাবর রওনা দেন। চিত্রে রকেটে রক্ষিত একটি আয়তাকার কাগজের টুকরোর গতি নির্দেশিত হয়েছে।কাগজ টুকরাটির গতিশীল ভর নির্ণয় করো
সীমিত ভর বিশিষ্ট কোন বস্তুকনা শূন্যস্থানে আলোর গতিবেগে চলতে পারে না নিচের কোন সমীকরণটি স্ব পক্ষে সবচেয়ে বেশি গ্রহণযোগ্য যুক্তি পাওয়া যাবে?