Download Address Academy - Best Offline Education App

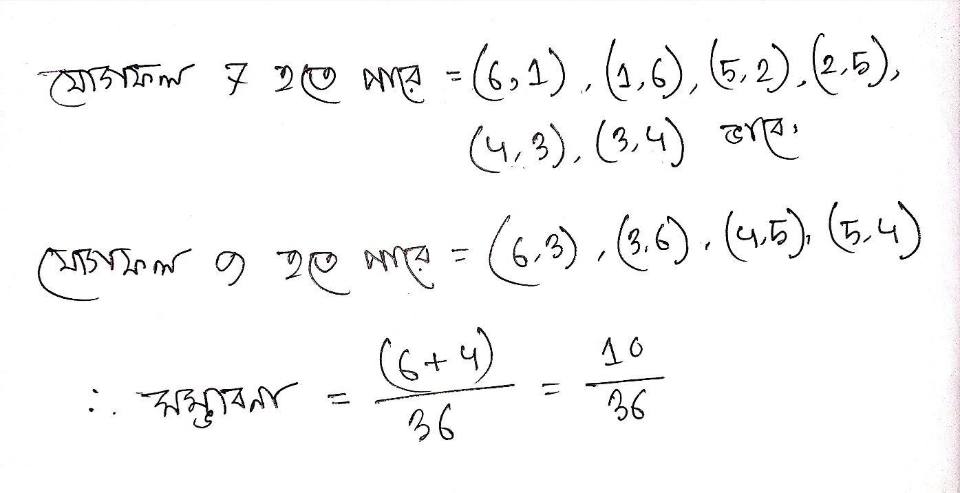
দুটি ছক্কা একত্রে নিক্কেপ করলে তাদের মানের যোগফল 7 অথবা 9 পাওয়ার সম্ভাবনা কত?

A. 1/6

B. 1/9

C. 10/36

D. 15/36

Poster Download
DU.TECH2020বর্জনশীল ও অবর্জনশীল ঘটনাউচ্চতর গণিত দ্বিতীয় পত্রবিস্তার পরিমাপ ও সম্ভাবনাDU.TECH - ⚡ অনলাইন প্রশ্নব্যাংক দেখুন 💥
Join Telegram

প্রশ্নঃ দুটি ছক্কা একত্রে নিক্কেপ করলে তাদের মানের যোগফল 7 অথবা 9 পাওয়ার সম্ভাবনা কত?

সঠিক উত্তরঃ C. 10/36

Explanation:

যে কোন ইউনিভার্সিটির চ্যাপটার ওয়াইজ , টপিক অনুযায়ী, এনালাইসিস সহ প্রশ্ন ব্যাংক দেখতে প্রশ্ন ব্যাংক দেখতে সম্পূর্ণ ভিডিওগুলো দেখুন