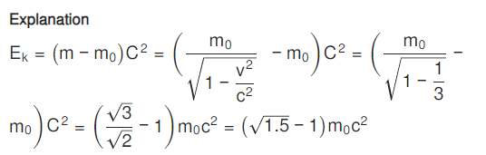
প্রশ্নঃ C/sqrt3 বেগে চলমান একটি কণার গতিশক্তি কত? [স্থির অবস্থায় কণাটির ভর = M0]
সঠিক উত্তরঃ
B.
(sqrt1.5-1)M_0C^2
Explanation: 
যে কোন ইউনিভার্সিটির চ্যাপটার ওয়াইজ , টপিক অনুযায়ী, এনালাইসিস সহ প্রশ্ন ব্যাংক দেখতে প্রশ্ন ব্যাংক দেখতে সম্পূর্ণ ভিডিওগুলো দেখুন