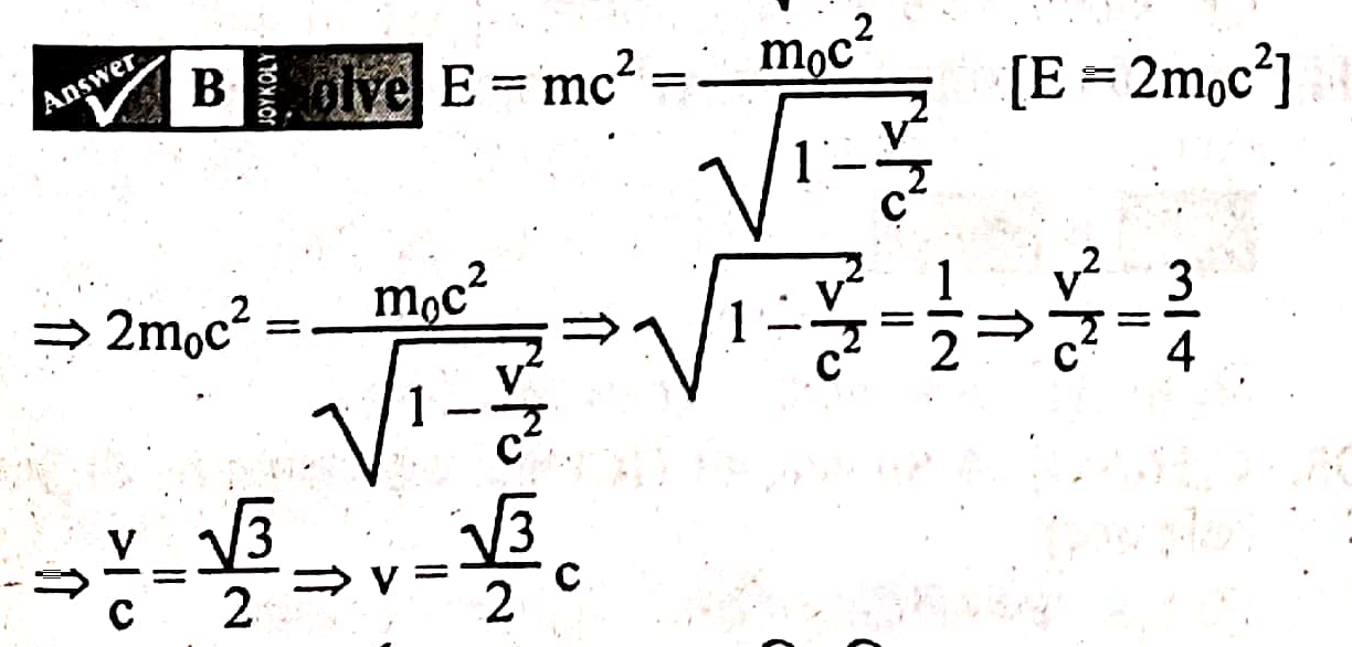
একটি কণার মোট শক্তি তার স্থির অবস্থার শক্তির দ্বিগুণ । কনাটির দ্রুতি বের করো ।
Poster Download
প্রশ্নঃ একটি কণার মোট শক্তি তার স্থির অবস্থার শক্তির দ্বিগুণ । কনাটির দ্রুতি বের করো ।
Explanation:

যে কোন ইউনিভার্সিটির চ্যাপটার ওয়াইজ , টপিক অনুযায়ী, এনালাইসিস সহ প্রশ্ন ব্যাংক দেখতে প্রশ্ন ব্যাংক দেখতে সম্পূর্ণ ভিডিওগুলো দেখুন