Download Address Academy - Best Offline Education App

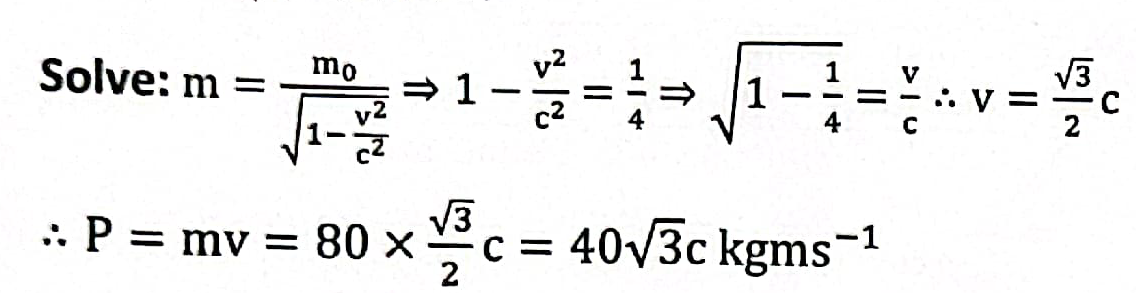
 10 kg ভরের একটি বস্তুকে গতিশীল করা হলে এর ভর দ্বিগুণ হয় ।গতিশীল অবস্থায় ভরবেগ কত?

A.

B.

C.

D.

Poster Download
qb5ভরের আপেক্ষিকতাপদার্থবিজ্ঞান দ্বিতীয় পত্রআধুনিক পদার্থবিজ্ঞানের সূচনাqb5 - ⚡ অনলাইন প্রশ্নব্যাংক দেখুন 💥
Join Telegram

প্রশ্নঃ  10 kg ভরের একটি বস্তুকে গতিশীল করা হলে এর ভর দ্বিগুণ হয় ।গতিশীল অবস্থায় ভরবেগ কত?

Explanation:

যে কোন ইউনিভার্সিটির চ্যাপটার ওয়াইজ , টপিক অনুযায়ী, এনালাইসিস সহ প্রশ্ন ব্যাংক দেখতে প্রশ্ন ব্যাংক দেখতে সম্পূর্ণ ভিডিওগুলো দেখুন