A. বৃদ্ধি পাবে
B. অসীম হবে
C. শূন্য হবে
D. হ্রাস পাবে
সঠিক উত্তরঃ B. অসীম হবে
Explanation:

Another Explanation (5):
কোনো বস্তু যখন আলোর বেগের কাছাকাছি গতিতে চলতে শুরু করে, তখন এর ভরের কী পরিবর্তন ঘটে, তা নিয়ে পদার্থবিদ্যায় গুরুত্বপূর্ণ আলোচনা রয়েছে। 🤔 আলোর বেগে চললে কোনো বস্তুর ভর অসীম হয়ে যায় - এই ধারণাটি বিশেষভাবে উল্লেখযোগ্য। নিচে এর কারণ এবং ব্যাখ্যা দেওয়া হলো:
ভর এবং বেগের মধ্যে সম্পর্ক বুঝতে হলে আইনস্টাইনের আপেক্ষিকতার তত্ত্ব (Theory of Relativity) জানা দরকার। এই তত্ত্ব অনুসারে, কোনো বস্তুর গতি বাড়ার সাথে সাথে তার ভরও বাড়তে থাকে।
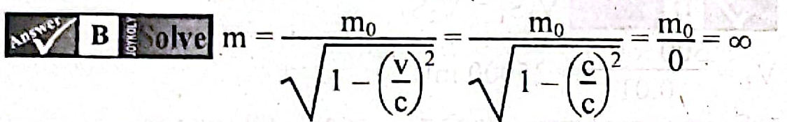
আপেক্ষিক ভর নির্ণয়ের সূত্রটি হলো:
m = m₀ / √(1 - v²/c²)
ভর অসীম হওয়ার অর্থ হলো:
আইনস্টাইনের বিখ্যাত ভর-শক্তি সমীকরণ E=mc² অনুসারে, ভর এবং শক্তি পরস্পর সম্পর্কিত। যখন কোনো বস্তুর বেগ বাড়ে এবং ভর অসীম হয়ে যায়, তখন তার শক্তিও অসীম হয়ে যায়।
| বেগ (v) | v²/c² | √(1 - v²/c²) | ভর (m) |
|---|---|---|---|
| 0 (স্থির) | 0 | 1 | m₀ |
| 0.5c | 0.25 | 0.866 | 1.15 m₀ |
| 0.9c | 0.81 | 0.436 | 2.29 m₀ |
| 0.99c | 0.9801 | 0.141 | 7.09 m₀ |
| c (আলোর বেগ) | 1 | 0 | অসীম (∞) |
উপরের টেবিল থেকে স্পষ্ট বোঝা যায়, বেগ বাড়ার সাথে সাথে ভর কিভাবে বাড়ছে।
আলোর বেগে কোনো বস্তু পৌঁছালে তার ভর অসীম হয়ে যায়। এর কারণ হলো আপেক্ষিকতার তত্ত্ব এবং ভর-শক্তি সমীকরণ। তাই, আলোর বেগ একটি সীমা যা কোনো বস্তুর পক্ষে অতিক্রম করা সম্ভব নয়। 🌌