Download Address Academy - Best Offline Education App

1 টি মুদ্রাকে দুইবার নিক্ষেপ করলে উভয় ক্ষেত্রে হেড পাওয়ার সম্ভাবনা কত ?  

A.

1/2

B.

1/3

C.

1/4

D.

1/5

Poster Download
BUTEX2013বর্জনশীল ও অবর্জনশীল ঘটনাউচ্চতর গণিত দ্বিতীয় পত্রবিস্তার পরিমাপ ও সম্ভাবনাBUTEX - ⚡ অনলাইন প্রশ্নব্যাংক দেখুন 💥
Join Telegram

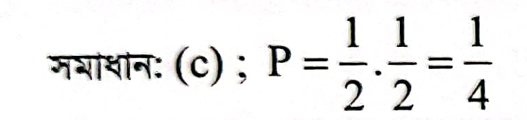
প্রশ্নঃ 1 টি মুদ্রাকে দুইবার নিক্ষেপ করলে উভয় ক্ষেত্রে হেড পাওয়ার সম্ভাবনা কত ?  

সঠিক উত্তরঃ C.

1/4

Explanation:

যে কোন ইউনিভার্সিটির চ্যাপটার ওয়াইজ , টপিক অনুযায়ী, এনালাইসিস সহ প্রশ্ন ব্যাংক দেখতে প্রশ্ন ব্যাংক দেখতে সম্পূর্ণ ভিডিওগুলো দেখুন