পিডিএফ এর থেকেও মাস্টার প্রশ্ন ব্যাংক & Poll Master এ রয়েছে বিশেষ সুবিধা
What are the advantages of a synchronous counter over an asynchronous counter?
No options found for this question.
d/dx[x^2/(x^2-4)]=?
বৃত্তের ব্যাস যদি D দ্বারা এবং ব্যাসার্ধ দ্বারা সূচিত হয় তবে D এর সমান নিচের কোনটি?
কোন ধরণের খাদ্য পরিপাক হয়ে এমিনো এসিড উৎপন্ন হয়?
আলফা কণা ইলেকট্রনের চেয়ে কতগুণ ভারী?
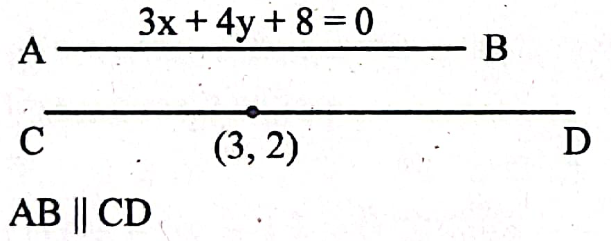
প্রশ্ন-৬৫CD সরলরেখার সমীকরণ কোনটি?
উদ্দীপকে উল্লিখিত 'A' চিহ্নিত অংশটির গঠনগত ভিন্নতার মধ্যে তুলনা করো।
বর্তমানে টুটুলের ব্যবসায়ের ঋণমূলধন কত ?
sin θ=-1 হলে, θ এর সাধারণ মান কত?
উদ্দীপকের ফলটিতে কোনটি বিদ্যমান?
'Kith and kin' meaning-
ভূমিকম্প নির্ণায়ক যন্ত্রের নাম কি?
ইউরিয়া সার তৈরিতে কত তাপমাত্রা ও চাপ বিক্রিয়া সংঘটন করা হয়?
'কচুবনের কালাচাঁদ' বাগধারাটির অর্থ?
ইস্পাত সাধারণ লোহা থেকে ভিন্ন। কারণ এতে ----
সংযুক্ত নিকায় কয়ভাগে বিভক্ত?