Download Address Academy - Best Offline Education App

A proton gains its mass twice of its rest mass while moving in an energy field.What is the velocity of the proton?The rest mass of the proton is 1.67*10-27 kg.

A. 6.3*104 m/s

B. 5.3*104 m/s

C. 1.73*104 m/s

D. 2.598*104 m/s

E. Blank

Poster Download
IUT2011ভরের আপেক্ষিকতাপদার্থবিজ্ঞান দ্বিতীয় পত্রআধুনিক পদার্থবিজ্ঞানের সূচনাIUT - ⚡ অনলাইন প্রশ্নব্যাংক দেখুন 💥
Join Telegram

প্রশ্নঃ A proton gains its mass twice of its rest mass while moving in an energy field.What is the velocity of the proton?The rest mass of the proton is 1.67*10-27 kg.

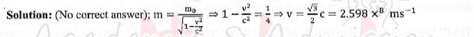
সঠিক উত্তরঃ E. Blank

Explanation:

যে কোন ইউনিভার্সিটির চ্যাপটার ওয়াইজ , টপিক অনুযায়ী, এনালাইসিস সহ প্রশ্ন ব্যাংক দেখতে প্রশ্ন ব্যাংক দেখতে সম্পূর্ণ ভিডিওগুলো দেখুন