Download Address Academy - Best Offline Education App

↓পর্যায় \ গ্রুপ→

A.

1

B.

2

C.

4

D.

6

Poster Download

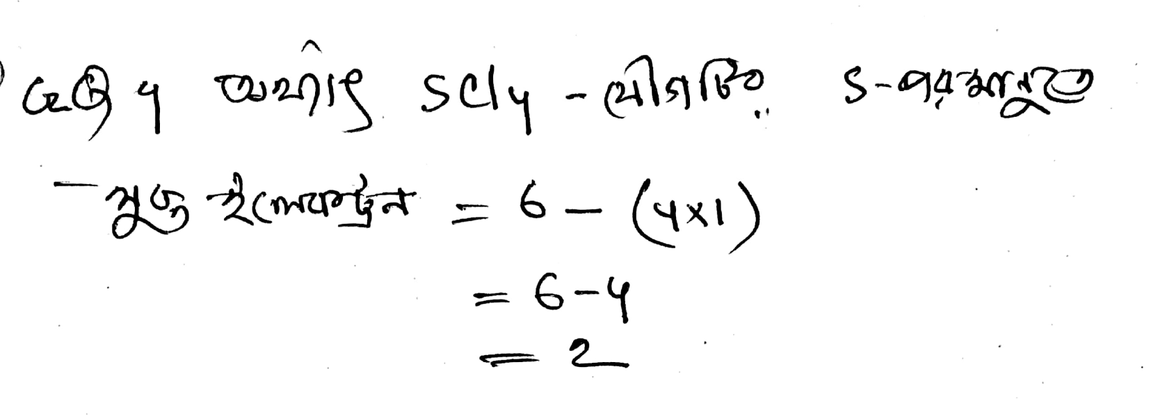
প্রশ্নঃ
↓পর্যায় \ গ্রুপ→

সঠিক উত্তরঃ B.

2

Explanation:

Another Explanation (5): ```html

↓পর্যায় \ গ্রুপ→
উত্তর: "2"
❓ প্রশ্নটি সম্ভবত পর্যায় সারণির ২য় গ্রুপের মৌল সম্পর্কে জানতে চাইছে।🤔 পর্যায় সারণির ২য় গ্রুপে ক্ষারীয় মৃত্তিকা ধাতু (Alkaline earth metals) অবস্থিত। এই গ্রুপের মৌলগুলো হলো:
Be (বেরিলিয়াম), Mg (ম্যাগনেসিয়াম), Ca (ক্যালসিয়াম), Sr (স্ট্রনসিয়াম), Ba (বেরিয়াম) এবং Ra (রেডিয়াম)। ☢️
এই মৌলগুলোর বৈশিষ্ট্য হলো:
  1. এরা সাধারণত দ্বিযোজী আয়ন (2+ charge) গঠন করে। 🧪
  2. এদের অক্সাইডগুলো ক্ষারীয়। 🌍
  3. এরা পানিতে কম দ্রবণীয় হাইড্রক্সাইড গঠন করে।💧
  4. এরা সবাই ধাতু এবং ভালো বিজারক। ✨
যদি প্রশ্নটি নির্দিষ্ট কোনো মৌল অথবা বৈশিষ্ট্য জানতে চায়, তবে আরও তথ্য দিন। 💬
```

যে কোন ইউনিভার্সিটির চ্যাপটার ওয়াইজ , টপিক অনুযায়ী, এনালাইসিস সহ প্রশ্ন ব্যাংক দেখতে প্রশ্ন ব্যাংক দেখতে সম্পূর্ণ ভিডিওগুলো দেখুন