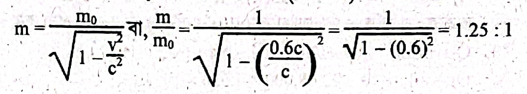
একটি ইলেকট্রনের স্থির ভর m0= 9.1×10-31 kg। ইলেকট্রন টি 0.6c বেগে গতিশীল।
উদ্দীপক অনুসারে ইলেকট্রনটির আপেক্ষিক ভর ও স্থির ভরের অনুপাত কত হবে?
A.
0.8 : 1
B.
1.25:1
C.
1 : 56 : 1
D.
1.58 : 1
একটি ইলেকট্রনের স্থির ভর m0= 9.1×10-31 kg। ইলেকট্রন টি 0.6c বেগে গতিশীল।
উদ্দীপক অনুসারে ইলেকট্রনটির আপেক্ষিক ভর ও স্থির ভরের অনুপাত কত হবে?
সঠিক উত্তরঃ B.
1.25:1
Explanation:

Another Explanation (5): ```html