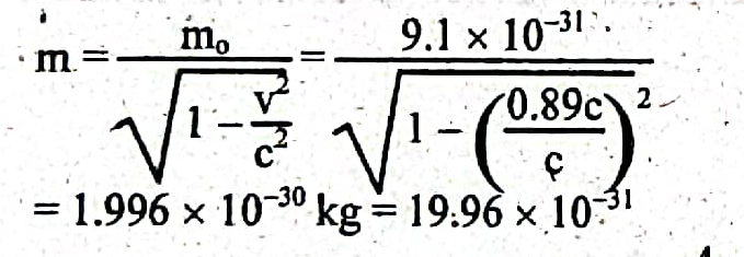
যদি 1টি ইলেকট্রন 0.89c বেগে গতিশীল হয়, তাহলে এর গতিশীল ভর কত হবে ?
A. 9.1 × 10-31 kg
B. 19.96 × 10-31 kg
C. 1.996 × 10-31 kg
D. 10.86 × 10-31 kg
যদি 1টি ইলেকট্রন 0.89c বেগে গতিশীল হয়, তাহলে এর গতিশীল ভর কত হবে ?
সঠিক উত্তরঃ B. 19.96 × 10-31 kg
Explanation:
