NSTU - ইউনিট: Unit-A Question Bank

সূচিপত্র

জীববিজ্ঞান প্রথম পত্র

অণুজীব

ম্যালেরিয়া পরজীবী

[NSTU : Unit-A : 2019]

Aমেরোজয়েট

Bট্রফোজয়েট

Cক্রিপ্টোজয়েট

Dস্পোরোজয়েট

[NSTU : Unit-A : 2016]

Aভাইরাস

Bব্যাকটেরিয়া

Cপ্রোটোজোয়ান

Dআর্থ্রোপোডা

[NSTU : Unit-A : 2015]

AAnoveles

BAnopheles

CAnadromous

DAnobilis

ভাইরাসঘটিত রোগসমূহ

[NSTU : Unit-A : 2019]

APuccinia graminis

BPythium aphanidermatum

CPhytophthora infestans

DPenicillum notatum

[NSTU : Unit-A : 2016]

Aফ্ল্যাভি ভাইরাস

Bইবোলা ভাইরাস

Cএডিনো ভাইরাস

Dপটি ভাইরাস

[NSTU : Unit-A : 2016]

ATuberculosis

BAnthrax

CTetanus

DAIDS

ব্যাক্টেরিয়ার অর্থনৈতিক গুরুত্ব

[NSTU : Unit-A : 2019]

AClostridium acetobutylicum

BBacillus megaterium

CBacillus thuringiensis

DBacillus subtilis

ভাইরাসের অর্থনৈতিক গুরুত্ব

[NSTU : Unit-A : 2017]

ATuberculosis

BAIDS

CCancer

DTetanus

ব্যাকটেরিয়া

[NSTU : Unit-A : 2016]

Aব্যাকটেরিয়াম

Bভাইরাস

Cছত্রাক

Dফাঙ্গাস

ভাইরাস

[NSTU : Unit-A : 2015]

ANucleic acid and Capsid

BCapsid and RNA

CNucleic acid and DNA

DDNA and RNA

উদ্ভিদ শারীরতত্ত্ব

খনিজ লবণ পরিশোষণ

[NSTU : Unit-A : 2019]

Aনাইট্রোজেন

Bবোরন

Cফসফরাস

Dপটাশিয়াম

অবাত শ্বসন

[NSTU : Unit-A : 2019]

Aস্নেহপদার্থ বিপাক করা

Bশর্করা বিপাক করা

Cগ্লুকোজ থেকে অ্যালকোহল তৈরি করা

Dআমিষ বিপাক করা

[NSTU : Unit-A : 2017]

Aগ্লাইকোলাইসিস

Bফার্মান্টেশন

Cক্রেবস চক্র

Dইলেক্ট্রন ট্রান্সপোর্ট সিস্টেম

প্রস্বেদন ও প্রস্বেদনের প্রভাবক সমূহ

[NSTU : Unit-A : 2017]

ALenticel

BPhellem

CPhellogen

DPhelloderm

সালোকসংশ্লেষণ

[NSTU : Unit-A : 2017]

Aলাল ও কমলা

Bলাল ও নীল

Cসবুজ ও লাল

Dসবুজ ও নীল

শ্বসন - সবাত শ্বসন

[NSTU : Unit-A : 2016]

Aসাইট্রোপ্লাজম

Bনিউক্লিয়াস

Cরাইবোসোম

Dমাইটোকন্ড্রিয়া

কোষ ও এর গঠন

জিন

[NSTU : Unit-A : 2019]

AAUG

BUAG

CUAC

DUAU

[NSTU : Unit-A : 2016]

AUAA

BUAG

CAUG

DUGA

বংশগতীয় বস্তু - নিউক্লিক এসিড

[NSTU : Unit-A : 2017]

AATGC

BATGU

CTCGU

DACST

রাইবো নিউক্লিক অ্যাসিড(RNA)

[NSTU : Unit-A : 2016]

ARestriction endonuclease

BAmilase

CDNA polymerase

DPhosphorylase

ক্রোমোসোম

[NSTU : Unit-A : 2016]

A24

B22

C26

D18

মাইটোকন্ড্রিয়া

[NSTU : Unit-A : 2015]

ACentiole

BNeucleus

CMitochondrion

DCytoplasm

কোষ ও একটি আদর্শ উদ্ভিদকোষের গঠন

[NSTU : Unit-A : 2015]

ACarolous Linnaeus

BTheophrastus

CBentham & Hooker

DRobert Brown

টিস্যু ও টিস্যুতন্ত্র

উদ্ভিদের মূল ও কান্ডের অন্তর্গঠন

[NSTU : Unit-A : 2019]

Aঅক্ষীয়

Bবদ্ধ সমপার্শ্বীয়

Cমুক্ত সমপার্শ্বীয়

Dসমদ্বিপার্শ্বীয়

[NSTU : Unit-A : 2017]

Aএন্ডোডার্মিস

Bডিপ্লয়েড

Cট্রিপ্লয়েড

Dটেট্রাপ্লয়েড

ভাজক টিস্যু

[NSTU : Unit-A : 2016]

A2

B4

C5

D3

কোষ রসায়ন

অ্যামিনো এসিড

[NSTU : Unit-A : 2019]

Aঅরনিথিন

Bলিউসিন

Cলাইসিন

Dভ্যালিন

[NSTU : Unit-A : 2019]

AValine

BLeucine

CTyrosine

DProline

কার্বোহাইড্রেট বা শর্করা

[NSTU : Unit-A : 2019]

Aসেলুলোজ

Bগ্লাইকোজেন

Cগ্লুকোজ

Dসুক্রোজ

এনজাইম বা উৎসেচক

[NSTU : Unit-A : 2019]

Aপেপসিন

Bক্যাটালেজ

Cট্রিপসিন

Dসেলুলোজ

[NSTU : Unit-A : 2019]

Aডিম

Bদুধ

Cসবজি

Dআপেল

[NSTU : Unit-A : 2017]

Aএনজাইম

Bকো-এনজাইম

Cউদ্ভিদ হরমোন

Dভিটামিন

লিপিড বা স্নেহ পদার্থ

[NSTU : Unit-A : 2017]

A2

B3

C4

D5

[NSTU : Unit-A : 2016]

A3.21%

B3.80%

C3.75%

D7.65%

উদ্ভিদ প্রজনন

উদ্ভিদের কৃত্রিম প্রজনন

[NSTU : Unit-A : 2019]

Aতাপ সহিষ্ণু জিন

Bঠান্ডা সহিষ্ণু জিন

Cবরফ সহিষ্ণু জিন

Dলবনাক্ততা সহিষ্ণু জিন

নিষেক এবং নিষেকোত্তর পরিবর্তনসমূহ

[NSTU : Unit-A : 2019]

Aসরিষা

Bপান

Cআফিম

Dশিম

[NSTU : Unit-A : 2017]

Aহ্যাপ্লয়েড

Bডিপ্লয়েড

Cট্রিপ্লয়েড

Dটেট্রাপ্লয়েড

[NSTU : Unit-A : 2016]

Aস্পোর

Bডিম্বাণু

Cজাইগোট

Dপুষ্পরেণু

নগ্নবীজী ও আবৃতবীজী উদ্ভিদ

আবৃতবীজী উদ্ভিদ বা অ্যানজিওস্পার্ম

[NSTU : Unit-A : 2019]

Aধনে

Bকলা

Cসরিষা

Dধান

[NSTU : Unit-A : 2019]

ACynodon

BWolffia

CAzolla

DPistia

দ্বিবীজপত্রী উদ্ভিদের গোত্র Malvaceae

[NSTU : Unit-A : 2017]

ACorchorus olitorius

BHibisus altisima

CCorchorus capsularis

DHibicus cannabinus

Cycas

[NSTU : Unit-A : 2016]

AHibiscus

BAgricus

CCycas

DUlothrix

কোষ বিভাজন

মাইটোসিস বা সমীকরণিক কোষ বিভাজন

[NSTU : Unit-A : 2019]

ANecrosis

BApoptosis

CMitosis

DMeiosis

[NSTU : Unit-A : 2017]

AJ-Shaped

BX-Shaped

CV-Shaped

DL-Shaped

ক্রসিং ওভার

[NSTU : Unit-A : 2017]

Aপ্যাকাইটিনে

Bলেপ্টোটিনে

Cজাইগোটিনে

Dডিপ্লোটিনে

কোষচক্র ও ইন্টারফেজ

[NSTU : Unit-A : 2016]

AS,M,G1,G2

BS,G2,G1,M

CG1,S,G2,M

DM,S,G1,G2

[NSTU : Unit-A : 2016]

AS দশা

BG2 দশা

CM দশা

DG1 দশা

জীবপ্রযুক্তি

জীব প্রযুক্তি

[NSTU : Unit-A : 2019]

AF

BTOL

CR

DOCT

উদ্ভিদের টিস্যু কালচার

[NSTU : Unit-A : 2017]

Aএডওয়ার্ড জেনার

Bকুন

Cহেবার ল্যান্ড

Dসাইমন

[NSTU : Unit-A : 2016]

Aকোষের পাশে

Bকোষের ভিতরে

Cকোষের বাইরে

Dকোষের উপরে

জেনেটিক ইঞ্জিনিয়ারিং ও রিকম্বিনেন্ট ডিএনএ প্রযুক্তি

[NSTU : Unit-A : 2016]

APenicillium notatym

BPenicillium chrysogenum

CPenicillium griseofulvum

DAspergillus fumigatus

রিকম্বিনেন্ট DNA টেকনোলজির প্রয়োগ

[NSTU : Unit-A : 2016]

AAmylase enzyme

BLigase enzyme

CRestriction enzyme

DProtease enzyme

জীবের পরিবেশ, বিস্তার ও সংরক্ষন

জীবের অভিযোজন

[NSTU : Unit-A : 2019]

ACarbonate

BHydrocarbon

CPurine

DAromatic compound

শৈবাল ও ছত্রাক

শৈবাল

[NSTU : Unit-A : 2017]

ACompsogon

BSpirogyra

CChlorella

DNavicula

ছত্রাক - বৈশিষ্ট্য ও গঠন, জনন ও গুরুত্ব

[NSTU : Unit-A : 2017]

AHelminthosporium oryzae

BMucor rouxii

CPenicillum camemberti

DPhytophthora

Ulothrix(ইউলোথ্রিক্স)

[NSTU : Unit-A : 2017]

AMarchantia

BRiccia

CSaprolegnia

DPteris

জীববিজ্ঞান দ্বিতীয় পত্র

মানবদেহের প্রতিরক্ষা

প্রথম প্রতিরক্ষা স্তর

[NSTU : Unit-A : 2019]

Aঅশ্রু ও লালা

Bমুত্র ও লালা

Cরক্ত ও লালা

Dসেরাম ও প্লাজমা

রক্ত ও সঞ্চালন

মানব হৃৎপিণ্ড

[NSTU : Unit-A : 2019]

AIgG

BIgE

CIgD

DIgA

[NSTU : Unit-A : 2016]

Aএন্ডোকার্ডিয়াম

Bমায়োকার্ডিয়াম

Cপেরিকার্ডিয়াম

Dসেলওয়াল

রক্ত ও রক্তরস

[NSTU : Unit-A : 2016]

A১-২ লি.

B২.৫-৪ লি.

C৪.৫-৫ লি.

D৬-৮ লি.

[NSTU : Unit-A : 2015]

A7.36-7.45

B6.36-6.45

C5.36-5.45

D7-May

রক্তকণিকা

[NSTU : Unit-A : 2015]

A১২০ ঘন্টা

B১২০ দিন

C১২০ সপ্তাহ

D১২০ মাস

বর্জ্য ও নিষ্কাশন

হরমোনাল ক্রিয়া

[NSTU : Unit-A : 2019]

Aঅ্যালডোস্টেরন

Bপ্রোজেস্টেরন

Cভ্যাসেপ্রেসিন

Dইস্ট্রোজেন

রেচনের শারীরবৃত্ত

[NSTU : Unit-A : 2016]

A\(3%\)

B\(4%\)

C\(5%\)

D\(2%\)

জিনতত্ত্ব ও বিবর্তন

মেন্ডেলের সূত্র ও ব্যতিক্রম

[NSTU : Unit-A : 2019]

Aপ্রাণঘাতী জিন

Bপরিপূরক জিন

Cএপিস্ট্যাটিক জিন

Dহাইপোস্ট্যাটিক জিন

বংশগতিবিদ্যা বা জিনতত্ত্ব বা জেনেটিক্স

[NSTU : Unit-A : 2017]

Aজিনোম

Bঅ্যালিলোমর্ফ

Cফিনোটাইপ

Dজিনোটাইপ

বিবর্তন বা অভিব্যক্তি

[NSTU : Unit-A : 2017]

AConchology

BEntomology

COrnithology

DHerpetology

[NSTU : Unit-A : 2015]

AOn the origin of Species

BOrigin of Genus

COrigin of Genome

DDarwin's Theory

মানব জীবনের ধারাবাহিকতা

ভ্রুণ আবরণী ও মানব ভ্রূণের পরিস্ফুটন

[NSTU : Unit-A : 2019]

Aচতুর্থ সপ্তাহ

Bপঞ্চম সপ্তাহ

Cতৃতীয় সপ্তাহ

Dষষ্ঠ সপ্তাহ

প্রাণীর আচরণ

ট্যাক্সিস

[NSTU : Unit-A : 2019]

Aজিওট্যাক্সিস

Bরিওট্যাক্সিস

Cথিগমোট্যাক্সিস

Dগ্যালভানোট্যাক্সিস

পরিপাক ও শোষণ

পরিপাককৃত খাদ্যবস্তু শোষণ

[NSTU : Unit-A : 2017]

Aপাকস্থলী

Bক্ষুদ্রান্ত্র

Cবৃহদান্ত

Dমুখ

গ্যাস্ট্রিক ও আন্ত্রিক গ্রন্থি

[NSTU : Unit-A : 2017]

A99.45%

B95%

C98.45%

D96%

পরিপাক ও পোষ্টিকতন্ত্র

[NSTU : Unit-A : 2017]

Aট্রিপসিন

Bমল্টেজ

Cইলাস্টেজ

Dটায়ালিন

যকৃত ও পিত্তরস

[NSTU : Unit-A : 2017]

Aঅগ্নাশয়

Bপিটুইটারি

Cযকৃত

Dপ্লীহা

[NSTU : Unit-A : 2017]

AA and D

BB and C

CA and C

DA and K

পরিপাক - মুখগহ্বর, পাকস্থলি ও ক্ষুদ্রান্ত

[NSTU : Unit-A : 2016]

Aটায়ালিন

Bরেনিন

Cট্রিপসিন

Dপেপসিন

[NSTU : Unit-A : 2016]

Aট্রিপসিন

Bপেপসিন

Cরেনিন

Dহাইড্রোক্লোরিক এসিড

লালাগ্রন্থি

[NSTU : Unit-A : 2016]

Aগ্লুকাগন

Bইনসুলিন

Cইস্ট্রোজেন

Dক্যালসিটোনিন

অগ্ন্যাশয়

[NSTU : Unit-A : 2015]

Aপ্রোটিন

Bকার্বোহাইড্রেট

Cফ্যাট

Dসবগুলো

প্রাণীর পরিচিতি

ঘাসফড়িং এর পরিপাকতন্ত্র

[NSTU : Unit-A : 2017]

Aবেগুনি

Bলাল

Cহলুদ

Dবাদামি

হাইড্রার খাদ্য গ্রহণ ও পরিপাক

[NSTU : Unit-A : 2015]

Aনেফ্রিডিয়া থাকে

Bপুঞ্জ??ক্ষি থাকে

Cনার্ভকর্ড থাকে

Dম্যান্টল খোলক থাকে

হাইড্রার গঠন

[NSTU : Unit-A : 2015]

Aসিলোম

Bসিলেন্টেরন

Cহাইপোস্টোম

Dহিমোসিল

প্রাণীর বিভিন্নতা ও শ্রেণিবিন্যাস

ননকর্ডাটা প্রাণীর শ্রেণীবিন্যাস

[NSTU : Unit-A : 2017]

Aনিডারিয়া

Bআর্থ্রোপোডা

Cমোলাস্কা

Dপ্লাটিহেলমিনথেস

[NSTU : Unit-A : 2015]

ATurbellaria

BCalcarea

CDemospongiae

DAnobilis

বৈজ্ঞানিক নাম - 2.1

[NSTU : Unit-A : 2015]

ALabeo ruhita

BLabeo rohita

Clabeo rohita

Dlobeo ruhita

প্রানীবৈচিত্র ও প্রাণীর শ্রেণীবিন্যাস

[NSTU : Unit-A : 2015]

AICBN

BICZN

CIUCN

DIUZN

সমন্বয় ও নিয়ন্ত্রণ

হরমোন

[NSTU : Unit-A : 2016]

AProgesteron

BFSH

CLH

DOxytocin

মস্তিষ্ক - গঠন, অংশ ও কাজ

[NSTU : Unit-A : 2016]

Aসেরিব্রাম

Bথ্যালামাস

Cহাইপোথ্যালামাস

Dসেরিবেলাম

B-2.13

মুক্তা শিল্প

[NSTU : Unit-A : 2015]

ACaCO3

BH2O

Cকনকিওলিন

DHormone

চলন ও অঙ্গচালনা

পেশির গঠন ও কাজ

[NSTU : Unit-A : 2015]

AProlin

BAlbumin

CGlobulin

DMyosin

ইংরেজি - গ্রামার ও ভোকাবুলারি

Analogy

অন্যান্য টপিক

[NSTU : Unit-A : 2019]

ATestimony : confession

BFood : Fish

CAuthor : works

DDead : living 

Completing Sentence

অন্যান্য টপিক

[NSTU : Unit-A : 2019]

Aappoints

BAppointed 

CAppointing

DAppoint 

[NSTU : Unit-A : 2017]

Ahe saw a ghost

Bhe had seen a ghost

Che sees a ghost

Dhe will see a ghost

[NSTU : Unit-A : 2016]

Aheard

Bhear

Chearing

Dshall hear 

[NSTU : Unit-A : 2016]

APhilosophy 

BPhilology 

CTheology

DAnthropology

[NSTU : Unit-A : 2017]

Asmoked

Bsmoking 

Csmoken

Dhave smoken

[NSTU : Unit-A : 2019]

ASome time

BSome times

CSometime

DSometimes

[NSTU : Unit-A : 2017]

Athan the terrible storm started

Bthen started the terrible storm

Cwhen the terrible storm had started

Dbefore the terrible storm had started

[NSTU : Unit-A : 2019]

AUsed to eating 

Bare used to eat

CAre used to eating 

DUse to eat 

[NSTU : Unit-A : 2017]

Ayou changed your policy

Byou change your policy

Cyou will change your policy

Dyou can change your policy

Conditional Sentence

অন্যান্য টপিক

[NSTU : Unit-A : 2019]

ASee

BWill see

CSaw

DWould see

Gerund Infinitive, Participle

অন্যান্য টপিক

[NSTU : Unit-A : 2016]

Aa gerund

Ba participle

Ca verbal noun

Dan infinitive 

Group verb/ Phrasal verb

অন্যান্য টপিক

[NSTU : Unit-A : 2019]

APuts upon

Btells upon

Cbreaks upon

Dturns upon

Literature

অন্যান্য টপিক

[NSTU : Unit-A : 2016]

Anote before

Bnota bene 

Cbote by 

Dnote best 

[NSTU : Unit-A : 2016]

AShakespeare

BBacon 

CGladstone

DDisraeli 

Number

অন্যান্য টপিক

[NSTU : Unit-A : 2016]

Anews 

Bprincess

Cactress

Dprinces

Phrase & Clause in Details

অন্যান্য টপিক

[NSTU : Unit-A : 2019]

AA noun phrase 

BAn adverb phrase 

CAn adjective phrase 

DA verb phrase

Phrases & Idioms

অন্যান্য টপিক

[NSTU : Unit-A : 2017]

ASeen is better than unseen

BIt is no good beating about the bush

CPromises are better than actuals

DTake what you have readily

Right Form of Verb

অন্যান্য টপিক

[NSTU : Unit-A : 2016]

Alistening 

Bto listen 

Clistened

Dlisten

[NSTU : Unit-A : 2016]

Aloose

Bloss

Clost 

Dlose 

[NSTU : Unit-A : 2017]

Aloose

Blost

Close

Dloss

[NSTU : Unit-A : 2016]

Atelecast

Bpublish 

Ctelecasted 

Dbroadcasted 

Sentence Correction

অন্যান্য টপিক

[NSTU : Unit-A : 2017]

ASchool is gone by me

BA few has reached is time

CI would prefer this shirt to that

DI proposed him to go

[NSTU : Unit-A : 2017]

AWho did you come for?

BOI got hahituated to love alone

CThat you did it have been proved

DHe resembles with his mother

Spelling

অন্যান্য টপিক

[NSTU : Unit-A : 2019]

AFullfil

BSkillful

CHandfull

DFulsome

[NSTU : Unit-A : 2016]

Aquestionere

Bquestionnairre

Cquestionnaire

Dquestionare

Synonym & Antonym

অন্যান্য টপিক

[NSTU : Unit-A : 2016]

Aadults

Bchildern

Cold people 

Dwomen

[NSTU : Unit-A : 2019]

AAgreeable

BTypical 

CDamnable

DAduible

[NSTU : Unit-A : 2017]

ADemography

BPollution

CAtmosphere

DEnvironment

[NSTU : Unit-A : 2017]

ADull

BHeavy

CAnimated

DSlow

[NSTU : Unit-A : 2019]

ANot bringing good luck

BNot having sufficient knowledge 

CNot well dressed 

DNot friendly 

Tag Question

অন্যান্য টপিক

[NSTU : Unit-A : 2016]

Adid anybody? 

Bwas it? 

Cdid he?

Ddid they? 

[NSTU : Unit-A : 2019]

Adid they?

Bdidn't they?

Cdid few?

Ddidn't few? 

Tense & Sequence of Tense

অন্যান্য টপিক

[NSTU : Unit-A : 2017]

Ashe leaves

Bshe left

Cshe will leave

Dshe may leave

Translations & Proverbs

অন্যান্য টপিক

[NSTU : Unit-A : 2016]

Agiving oil only to head

Bto carry coal to Newcastle

Cto carry coal to Oldcastle

Dto carry coals to Newcastle

Verb in Details

অন্যান্য টপিক

[NSTU : Unit-A : 2017]

Aa gerund

Ba participle

Can infinitive 

Da causative verb

[NSTU : Unit-A : 2019]

AStaying 

BStay

Cto stay

DStays

Voice

অন্যান্য টপিক

[NSTU : Unit-A : 2019]

AIt will soon be forgotten 

BPeople will be forgotten soon

CPeople will soon forgot by it

DIt will forgot by people soon

[NSTU : Unit-A : 2017]

AThe door should be shut

BLet the door be shut

CThe door should be shutted

DLet the door be shutted

রসায়ন প্রথম পত্র

গুণগত রসায়ন

রাদারফোর্ড পরমাণু মডেল

[NSTU : Unit-A : 2015]

A "_2^4He^(2+)

B "_0^1H

C "_-1^0C

D "_1^1P

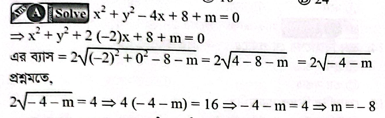
দ্রাব্যতা, দ্রাব্যতা গুনফল, আয়নিক গুনফল ও অধঃক্ষেপ

[NSTU : Unit-A : 2016]

A বৃদ্ধি পায় 

Bহ্রাস পায় 

Cস্থির থাকে

Dকোনোটিই নয় 

শিখা পরীক্ষা ও আয়ন শনাক্তকরণ

[NSTU : Unit-A : 2019]

ASO42-

BNO3-

CCO32

DNO2-

[NSTU : Unit-A : 2015]

Aইটের মতো লাল 

B হালকা বেগুনী 

C হলুদাভ সবুজ 

D সোনালী হলুদ 

তড়িৎ চুম্বকীয় বর্ণালি ও পারমানবিক বর্ণালি - রিডবার্গ সমীকরণ

[NSTU : Unit-A : 2019]

Aতড়িৎ ধর্ম

Bতেজষ্ক্রিয় ধর্ম

Cরাসায়নিক ধর্ম

Dচৌম্বক ধর্ম

দ্রাব্যতার উপর সম-আয়ন প্রভাব

[NSTU : Unit-A : 2019]

Aস্থির বৈদ্যুতিক আকর্ষণ বল

Bমেরু প্রবণতা

Cল্যাটিস শক্তি

Dবন্ধন কোণ

মৌলের পর্যায়বৃত্ত ধর্ম ও রাসায়নিক বন্ধন

VSEPR তত্ত্ব - মুক্তজোড় ও বন্ধনজোড় ইলেক্ট্রন এবং বন্ধন কোণ

[NSTU : Unit-A : 2015]

A90°

B107°

C180°

D120°

জটিল যৌগের নামকরণ ও সংকেত

[NSTU : Unit-A : 2017]

A95% H2SO4

B98% H2SO4

C90% H2SO4

D100% H2SO4

[NSTU : Unit-A : 2017]

AFe2O3XH2O

BFe2O3

CFeCl2

DFe3O4

[NSTU : Unit-A : 2016]

Aসোনা 

Bরূপা 

Cপ্লাটিনাম 

Dইস্পাত

আয়নীকরণ শক্তি, ইলেক্ট্রন আসক্তি ও তড়িৎ ঋনাত্বকতা

[NSTU : Unit-A : 2016]

AIA

BIIA

CVIIA

DVIIB

মৌলের অক্সাইডের অম্ল-ক্ষারক ধর্ম

[NSTU : Unit-A : 2015]

AMgO

BAl2O3

CCO2

DNa2O

[NSTU : Unit-A : 2017]

ANa2O

BK2O

CCuO

DAl2O3

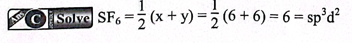
হাইব্রিডাইজেশন, যৌগের আকৃতি ও সংকরণ অবস্থা

[NSTU : Unit-A : 2019]

Asp2d

Bdsp3

Cd2sp3

Dsp3d3

[NSTU : Unit-A : 2016]

Asp3

Bsp2

Csp

Dসবগুলোতে সমান P বৈশিষ্ট্য

d ও f ব্লক মৌলের সাধারন ধর্ম (অবস্থান্তর মৌল)

[NSTU : Unit-A : 2017]

AZn

BMg

CAg

DFe

[NSTU : Unit-A : 2016]

Aঅধাতু 

Bধাতু 

Cনিস্ক্রিয় 

Dহ্যালোজেন 

পোলারিটি ও ডাইপোল মোমেন্ট ও ভ্যানডার ওয়ালস বল

[NSTU : Unit-A : 2017]

Aআন্তঃআনবিক আকর্ষণ 

Bআন্তঃআনবিক বিকর্ষণ 

Cঅণুগুলোর প্রকৃত আয়তন

D অণুগুলোর প্রকৃত ভর 

সন্নিবেশ সমযোজী বন্ধন ও একই যৌগে বিভিন্ন ধরনের বন্ধন

[NSTU : Unit-A : 2019]

Aআয়নিক বন্ধন

Bসমযোজী বন্ধন

Cসন্নিবেশ সমযোজী বন্ধন

Dসবকটি

s ও p ব্লক মৌলের সাধারন ধর্ম

[NSTU : Unit-A : 2016]

Aগ্যাসীয় 

Bকঠিন 

Cপ্লাজমা 

Dতরল 

হাইড্রোজেন বন্ধন ও এর গুরুত্ব

[NSTU : Unit-A : 2017]

Aভ্যানডার ওয়ালস বলসমূহ 

Bডাইপোল-ডাইপোল আন্??ঃযোগাযোগ 

Cহাইড্রোজেন বন্ড 

Dইলেক্ট্রোস্ট্যাটিক আকর্ষণ 

রাসায়নিক পরিবর্তন

রাসায়নিক সাম্যাবস্থার ও এর উপর তাপমাত্রা, চাপ ও ঘনমাত্রার প্রভাব

[NSTU : Unit-A : 2017]

A

2SO_2+O_2↔︎2SO_3 

B

N_2+O_2↔︎2NO

C

N_2+3H_2↔︎2NH_3

D

CO+O_2↔︎CO_2

ভরক্রিয়ার সূত্র, রাসায়নিক সাম্যধ্রবক এবং Kp, Kc নির্ণয়

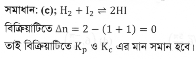
[NSTU : Unit-A : 2015]

A

PCl_5 ⇌PCl_3+Cl_2

B

COCl_2 ⇌CO+Cl_2

C

H_2+I_2⇌2HI

D

3H_2+N_2⇌2NH_3

[NSTU : Unit-A : 2017]

Aচাপ

Bতাপমাত্রা 

Cঘনমাত্রা 

Dপ্রভাবক 

বাফার দ্রবণ - সমীকরণ, ক্রিয়াকৌশল, pH এর গুরুত্ব

[NSTU : Unit-A : 2016]

A(NH4)2CO3

B(NH4)2HPO4

CCaO

DCaCO3.MgCO3

[NSTU : Unit-A : 2015]

A4.5-5.5

B4.6-5.6

C4.8-5.8

D4.8-5.6

[NSTU : Unit-A : 2017]

ANH4OH এবং NH4Cl এর মিশ্রণ 

BCH3COOH এবং CH3COOHNa এর মিশ্রণ 

CNaOH এবং Na2SO4 এর মিশ্রণ 

DHCO3 এবং H2CO3 এর মিশ্রণ 

অম্ল ও ক্ষার - বিয়োজন ধ্রুবক, তীব্রতা, pH স্কেল, Ka-Kb

[NSTU : Unit-A : 2017]

A1.40

B1.50

C1.60

D1.70

[NSTU : Unit-A : 2016]

A7.4 x 10-8 mol/l

B1.0 x 10-8 mol/l

C1.4 x 10-8 mol/l

D4.9 x 10-8 mol/l

বিক্রিয়ার ক্রম

[NSTU : Unit-A : 2019]

A10s

B20s

C30s

D40s

[NSTU : Unit-A : 2017]

A4.463×10-2 /min

B0.463×10-2 /min

C0.00231×10-2 /min

D2.31×10-2 /min

ভর ও শক্তির নিত্যতা, বিক্রিয়া তাপ ও প্রশমন তাপ

[NSTU : Unit-A : 2016]

A-13.7 kcal mol-1

B-12.7 kcal mol-1

C-11.7 kcal mol-1

D-11.5 kcal mol-1

প্রভাবক ও এনজাইম

[NSTU : Unit-A : 2016]

AOstwald Process

BSolvay Process

CHaber Process

DContact Process

রাসায়নিক বিক্রিয়া ও গ্রিন কেমিস্ট্রি

[NSTU : Unit-A : 2016]

Aবরফ গলা 

Bলোহায় মরিচা ধরা 

Cমোমবাতি জ্বাল 

Dপেট্রোল পোড়া 

কর্মমুখী রসায়ন

কৌটাজাতকরণ বা ক্যানিং

[NSTU : Unit-A : 2016]

ACH4

BC2H6

CC2H4

DC2H2

টয়লেট্রিজ ও পারফিউম এবং গ্লাস ও টয়লেট ক্লিনার

[NSTU : Unit-A : 2015]

AH2SO4

BHNO3

CH3PO3

DH3PO4

[NSTU : Unit-A : 2016]

Aভিনেগার 

Bকস্টিক সোডা 

Cলঘু অ্যামোনিয়া দ্রবণ 

Dকস্টিক পটাশ 

[NSTU : Unit-A : 2019]

Aসাইট্রিক এসিড

Bফলিক এসিড

Cলাসোন

Dল্যানোলিক

রসায়ন দ্বিতীয় পত্র

পরিবেশ রসায়ন

আংশিক চাপ ও ডাল্টনের সূত্র

[NSTU : Unit-A : 2017]

A0.0015

B0.075

C0.015

D0.025

[NSTU : Unit-A : 2019]

A50.84

B59.84

C41.66

D81.66

বয়েলের সূত্র

[NSTU : Unit-A : 2019]

A1.26 L

B2.26 L

C1.5 L

D3.15 L

ENone

বজ্রপাতে বিক্রিয়া, বায়ুদূষণ, গ্রিনহাউজ, CFC ও এসিড বৃষ্টি

[NSTU : Unit-A : 2015]

A200 ppm 

B300 ppm 

C500 ppm 

D600 ppm 

[NSTU : Unit-A : 2015]

AAl3+

BFe2*

CFe3+

DCa2*

[NSTU : Unit-A : 2015]

ACO2

BCH4

CCO

DCFC

[NSTU : Unit-A : 2019]

ASO2

BN2O

CSO3

DCaO

[NSTU : Unit-A : 2015]

Aজৈব দূষক

Bঅজৈব দূষক

Cতেজস্ক্রিয় দূষক  

Dকণাজাতীয় দূষক

[NSTU : Unit-A : 2015]

Aমিনামাতা 

Bইতাই ইতাই 

Cউদরাময় 

Dঅ্যালার্জি 

এসিড-ক্ষারক তত্ত্ব

[NSTU : Unit-A : 2015]

ACH3OH

BNH3

CAlCl3

DCH3OCH3

জৈব রসায়ন

কার্বক্সিলিক এসিড, এস্টার ও অ্যামাইড

[NSTU : Unit-A : 2019]

A1° amine

B2° amine

C3° amine

D1°,2° and 3° amine

[NSTU : Unit-A : 2019]

AC6H5NH2

B(CH3)2NH

CCH3NH2

D(CH3)2N

[NSTU : Unit-A : 2015]

AEthyl acetatate 

BHexane 

CCCl4

DCCl3

জৈব যৌগের নামকরণ

[NSTU : Unit-A : 2017]

A2,2,4- ট্রাইমিথাইল পেন্টেন 

Bআইসো পেন্টেন 

C2,4,4- ট্রাই মিথাইল পেন্টেন 

Dনিও অক্টেন 

জৈব যৌগের সমানুতা

[NSTU : Unit-A : 2017]

A5

B4

C3

D2

[NSTU : Unit-A : 2019]

ACH3-CH2-CH2-CH2-NH2 and CH3-CH(CH3)-CH2-NH2]

BCH3-CH2-CH2-CH2-NH2 and CH3-CH(NH3)-CH2-NH2]

CC2H5-NH-C2H5 and CH3-NH-C2H7

DCH3-CH2-CH2-NH2 and CH3-NH-C2H5

[NSTU : Unit-A : 2016]

Aফরমিক এসিড

Bটারটারিক এসিড

Cল্যাকটিক এসিড

Dএ্যাসিটিক এসিড

অ্যালকোহল

[NSTU : Unit-A : 2017]

AC6H5OH

BC2H6OH

CCH3COOH

DH2CO3

[NSTU : Unit-A : 2017]

AZnCl2+ ConcHCl

BCaSO+ ConcHCl

CNaCl2 + ConcHCl

DCaCl2+ ConcHCl

[NSTU : Unit-A : 2017]

Aঅ্যানিলিন 

Bবেনজিন 

Cক্লোরোবেনজিন 

Dবেনজয়িক এসিড 

জৈব যৌগ - প্রাণশক্তি মতবাদ, শ্রেণিবিভাগ, বন্ধন প্রকৃতি

[NSTU : Unit-A : 2017]

AC8-C16

BC1-C4

CC6-C7

DC11-C16

EBlank

অ্যালডিহাইড ও কিটোন

[NSTU : Unit-A : 2017]

ACH3CH2OH

BRCOOH

CRCH2CHO

DRCH2X

[NSTU : Unit-A : 2016]

ACH3-CHO

BC6H5-CHO

CCH3CH2-CHO

Dসবগুলো 

[NSTU : Unit-A : 2016]

Aটলেন বিকারক পরীক্ষা 

Bলিট্মাস পরীক্ষা 

C NaHCOদ্রবণ পরীক্ষা 

Dলিবারম্যান পরীক্ষা 

[NSTU : Unit-A : 2015]

Aফরমালডিহাইড 

Bঅ্যাসিটালডিহাইড

Cবেনজিলডিহাইড

Dট্রাইমিথাইল অ্যাসিটালডিহাইড

কার্যকরী মূলক শনাক্তকরণ

[NSTU : Unit-A : 2015]

AEthylene glycol

BGlycerol

CDiethyl ether

DPicric acid 

[NSTU : Unit-A : 2015]

ALactose

BFructose

CMaltose

DSucrose

[NSTU : Unit-A : 2015]

AVitamin A & D

BVitamin A &B

CVitamin C & B

DVitamin K

[NSTU : Unit-A : 2016]

Aগ্লিসারল

Bট্রাইগ্লিসারাইড

Cওয়েল অ্যান্ড ফ্যাট

Dফ্যাটি এসিড 

[NSTU : Unit-A : 2015]

Aবলকারক 

Bব্যাথা নিবারক 

Cঘুমের ওষুধ  

Dজীবাণুনাশক 

অ্যারোমেটিক হাইড্রোকার্বন - বেনজিন ও টলুইন

[NSTU : Unit-A : 2017]

AH2NCH2CH3

BC6H5NO2

CC6H5CONH2

DRCH2X

EBlank

জৈব যৌগের বিশুদ্ধতা ও গুরুত্ব এবং পলিমার ও প্ল্যাস্টিসিটি

[NSTU : Unit-A : 2016]

AIsoprene

BEthylene

CPropylene

DChoice 4

[NSTU : Unit-A : 2019]

Aক্লোরিন

Bসোডিয়াম হাইড্রোক্সাইড

Cব্লিচিং পাউডার 

Dক্যালসিয়াম কার্বনেট

ইলেকট্রোফাইল, নিউক্লিওফাইল

[NSTU : Unit-A : 2015]

AMethyl

BPrimary

CTertiary

DSecondary

[NSTU : Unit-A : 2017]

Aσ বন্ধনের সুষম ভাংগনের ফলে উৎপন্ন হয় 

Bσ বন্ধনের বিষম ভাঙ্গনের ফলে উৎপন্ন হয়

Cইহা অত্যন্ত অস্থায়ী 

Dপ্রোটন ও ইলেকট্রন সংখ্যা সমান 

অ্যালকেন, অ্যালকিন ও অ্যালকাইন

[NSTU : Unit-A : 2019]

Aঅ্যালকেন

Bঅ্যালকিন

Cঅ্যালকাইন

Dউচ্চতর অ্যালকেন

কার্যকরী মূলক ও সমগোত্রীয় শ্রেণি

[NSTU : Unit-A : 2019]

Aযুত বিক্রিয়া 

Bপ্রতিস্থাপন বিক্রিয়া

Cবিয়োজন বিক্রিয়া 

Dঘনীভবন বিক্রিয়া 

পরিমাণগত রসায়ন

জারণ-বিজারণ অর্ধবিক্রিয়া ও গাণিতিক সমস্যা

[NSTU : Unit-A : 2019]

A

Ag(s)+I_2(g)overset(triangle)toAgI

B

Pt(s)+I_2(g)overset(triangle)toPtI_2

C

Zn(s)+I_2(g)overset(triangle)toZnI_2

D

Au(s)+I_2(g)overset(triangle)toAuI

রাসায়নিক গণনা ও গ্যাসের মোলার আয়তন

[NSTU : Unit-A : 2016]

A0.75 mol

B0.0075 mol

C0.00075 mol

D0.075 mol

[NSTU : Unit-A : 2019]

A100 mL

B1000 mL

C500 mL

D50 mL

[NSTU : Unit-A : 2015]

A18

B20

C17

D16

[NSTU : Unit-A : 2015]

A2.63g

B3.62g

C26.3g

D2.23g

[NSTU : Unit-A : 2016]

A6.023 x 1023

B3.0125 x 1023

C3.0125 x 1022

D6.023 x 1022

দ্রবণের ঘনমাত্রা - মোলারিটি ও মোলালিটি এবং প্রাইমারি পদার্থ

[NSTU : Unit-A : 2017]

A0.94 M

B2.36 M

C2.10 M

D2.20m 

[NSTU : Unit-A : 2016]

AmolKg-1

Bmolg-1

CmolL-1

Dgmol-1

জারণ-সংখ্যা

[NSTU : Unit-A : 2017]

A-2.5

B+6

C+2.5

D-2

[NSTU : Unit-A : 2019]

A-3

B+6

C+3

D-6

দ্রবণের ঘনমাত্রা - PPM

[NSTU : Unit-A : 2019]

A24400

B24600

C24500

D24200

প্রশম বিক্রিয়া ও প্রশমন বিন্দু এবং মিশ্রনের প্রকৃতি

[NSTU : Unit-A : 2019]

A4.936

B4.703

C4.846

D4.584

দ্রবণের ঘনমাত্রা - শতকরা

[NSTU : Unit-A : 2019]

AKMnO4

BNa2S2O3.5H2O

CNaOH

DK2Cr2O7

[NSTU : Unit-A : 2017]

ANaOH

BK2Cr2O7

CKMnO4

DNa2S2O3.5H2O

জারণ-বিজারণ বিক্রিয়া এবং জারক-বিজারক

[NSTU : Unit-A : 2019]

Aক্ষারকীয়

Bএসিডীয়

Cনিরপেক্ষ 

Dমৃদু ক্ষারকীয় 

তড়িৎ রসায়ন

লেড স্টোরেজ ও লিথিয়াম ব্যাটারি

[NSTU : Unit-A : 2016]

A1.10 V

B2.10 V

C3.10 V

D2.20 V

[NSTU : Unit-A : 2016]

AZnCl2

BH2SO4

CNH4Cl

Dসবগুলো 

ফ্যারাডের তড়িৎ বিশ্লেষ্য সূত্র

[NSTU : Unit-A : 2019]

A278.65 s

B2520.32 s

C2900.45 s

D2720.56 s

তড়িৎ বিশ্লেষ্যের পরিবাহিতা ও কোষ ধ্রুবক

[NSTU : Unit-A : 2019]

Aলিথিয়াম 

Bকার্বন 

Cধাতব অক্সাইড 

Dপ্লাটিনাম 

অর্থনৈতিক রসায়ন

ন্যানো পার্টিকেল ও ন্যানো প্রযুক্তি

[NSTU : Unit-A : 2017]

A-10-9

B1-100 nm

C0.59 x 10-8 cm

D0.1A0

[NSTU : Unit-A : 2015]

A1-100 nm

B10-110 nm

C100-1000 nm

D1-1000 nm

[NSTU : Unit-A : 2015]

Aইউক্যালিপটাস পাতা 

Bসুগন্ধি ফুল 

Cইউক্যালিপটাস ফুল 

Dলেমন 

ইউরিয়া, কাঁচ, সিরামিক, কাগজ ও চামড়া উৎপাদনের মূলনীতি

[NSTU : Unit-A : 2016]

A1-4 %

B3-8 %

C20-24 %

D60-70 %

[NSTU : Unit-A : 2015]

Aসেলুলোজ ফাইবার 

Bকোলাজেন ফাইবার 

Cউভয়ই 

Dকোনটিই নয় 

C-2.6

পুরাতন সিলেবাস

[NSTU : Unit-A : 2016]

ADNA → RNA

BRNA →DNA

CRNA →Pro 

Dসবগুলো 

উচ্চতর গণিত প্রথম পত্র

ম্যাট্রিক্স ও নির্ণায়ক

ম্যাট্রিক্সের গুণন

[NSTU : Unit-A : 2016]

A

| (-19,-6),(23,-3)|

B

| (19,6),(-23,3)|

C

|(-8,2),(7,4) |

D

| (19,6),(-23,7)|

[NSTU : Unit-A : 2015]

A[8]

B

[(1,6)]

C

[-1/2]

DNone

ব্যতিক্রম ও অব্যতিক্রমি ম্যাট্রিক্স

[NSTU : Unit-A : 2016]

A- 3, - 5

B- 5,  0

C2, 3

D-2,  - 5

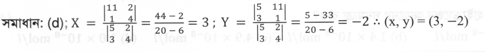
নির্ণায়ক ও নির্ণায়কের ধর্মাবলি

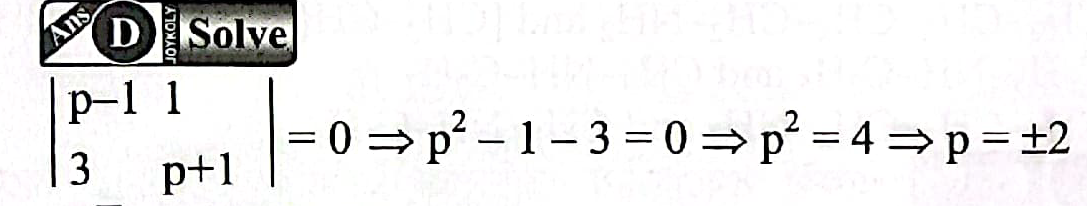
[NSTU : Unit-A : 2016]

A(1, 3)

B(2, 3)

C(1, 2)

D(3, -2)

[NSTU : Unit-A : 2019]

B3

C2

D

+-2

অনুরাশি ও সহগুণক

[NSTU : Unit-A : 2017]

A2

B-5

C-2

D3

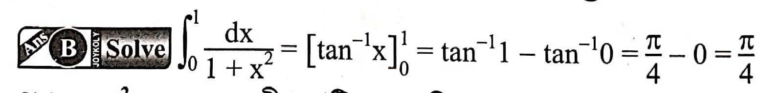
যোগজীকরণ

যোগজ নির্ণয়ের সূত্র ও ধর্ম

[NSTU : Unit-A : 2019]

A

1/3cosx+c

B

tanx+c

C

4/3tanx+c

D

1/4tanx+c

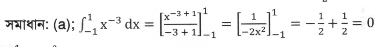
[NSTU : Unit-A : 2015]

A√2-2

B2-√2

C1-√2

D√2-1

[NSTU : Unit-A : 2019]

Axlogx+c 

Bc+xxlogx

Clog(xx+1)+c

Dxx+c

অংশায়ন সুত্র - LIATE

[NSTU : Unit-A : 2016]

B1

C1/2

D3

আদর্শ যোগজ - √(±a^2±x^2) সংক্রান্ত

[NSTU : Unit-A : 2017]

Aln2

B

pi/4

C

oo

D

pi/2

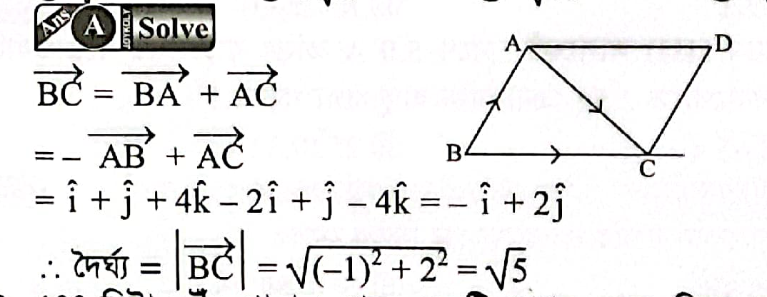
ভেক্টর

ভেক্টরের মান ও প্রকাশ

[NSTU : Unit-A : 2019]

A

sqrt5

B

6sqrt2

C

sqrt73

D

sqrt89

জ্যামিতিক সমস্যার সমাধানের ভেক্টর

[NSTU : Unit-A : 2016]

A×(×)

B. (.)

C+ (.)

D+. 

ভেক্টরের ক্রসগুণন সংক্রান্ত

[NSTU : Unit-A : 2016]

A√760

B229

C219

D429

লম্ব সম্পর্কিত

[NSTU : Unit-A : 2019]

A-2,1

B-4,1

C-2,-1

D4,1

EBlank 

সরলরেখা

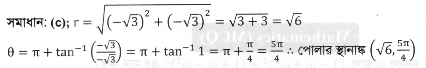
কার্তেসীয় ও পোলার স্থানাঙ্ক

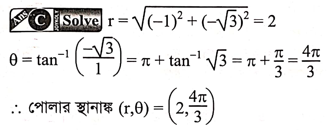
[NSTU : Unit-A : 2017]

A

(2,(-4pi)/3)

B

(2,(2pi)/3)

C

(2,(4pi)/3)

D

(-2,(2pi)/3)

[NSTU : Unit-A : 2015]

A

(6,π/4)

B

(sqrt3,π/4)

C

(sqrt6,(5π)/4)

D

(6,-π/4)

লম্ব বা সমান্তরাল বিষয়ক

[NSTU : Unit-A : 2016]

A(-1/8, -1/16)

B(1/8, -1/16)

C(-1/8, 1/16)

D(1/4, 1/16)

দুইটি রেখার মধ্যবর্তী কোণ বিষয়ক

[NSTU : Unit-A : 2015]

A45°

B60°

C120°

D135°

[NSTU : Unit-A : 2017]

A60°

B30°

C45°

D90°

সমান্তরাল ও লম্ব রেখার সমীকরণ নির্ণয় করার পদ্ধতি

[NSTU : Unit-A : 2019]

A7x-3y-11=0 

B3x-7y-11=0

C2x-3y-11=0

D3x-7y-10=0

[NSTU : Unit-A : 2016]

Am1m + 1=0

Bm1 + m2 =0

Cm = m2

Dm1m= 1

[NSTU : Unit-A : 2015]

Ax+2y=9

Bx+2y=6

Cx+2y+3=0

Dx+2y=-6

দুইটি অসমান্তরাল রেখার ছেদবিন্দু নির্ণয়

[NSTU : Unit-A : 2015]

Ax=0, y=1

Bx=0, y=2/3

Cx= 1/2, y=0

Dx=0, y=0 

বৃত্ত

বৃত্তের স্পর্শকের সমীকরণ

[NSTU : Unit-A : 2017]

A-5

B5

C25

D1

[NSTU : Unit-A : 2019]

Ax2+y2-2x+6y+4=0 

Bx2+y2-4x+6y+5=0

Cx2+y2-2x+6y+1=0

D2x2+2y2-2x+6y+3=0

বিভিন্ন শর্ত সাপেক্ষে বৃত্তের সমীকরণ নির্ণয়

[NSTU : Unit-A : 2019]

A-8

B12

C16

D24

[NSTU : Unit-A : 2017]

Ar2

B

r^2sin^2theta

C

r^2cos^2theta

D2r2

বৃত্তের সাধারণ সমীকরণ

[NSTU : Unit-A : 2017]

Aপরাবৃত্ত 

Bঅধিবৃত্ত

Cবৃত্ত

Dউপবৃত্ত

বিন্যাস ও সমাবেশ

সম্পূরক সমাবেশ

[NSTU : Unit-A : 2017]

A120

B360

C720

D840

nCr ও nPr এর মধ্যে সম্পর্ক

[NSTU : Unit-A : 2016]

A2n + 1

B2n - 1

C2n

D2n-1

[NSTU : Unit-A : 2016]

Am! mPr = mCr

Bmpr = m! mCr

CmPr = mCr/mr!

DmPr = r! mCr

সংযুক্ত কোণের ত্রিকোণমিতিক অনুপাত

দুইটি ত্রিকোণমিতিক অনুপাতের গুণফল ও যোগফল

[NSTU : Unit-A : 2016]

A

cos2A= (1+tan^2A)/(1-tan^2A)

B

cos2A= (1-tan^2A)/(1+tan^2A)

C tan3A= (3tanA+tan^2A)/(1-3tan^2A)

D

sin3A=3sinA+4sin^3A

গুণিতক কোণের ত্রিকোণমিতিক অনুপাত

[NSTU : Unit-A : 2016]

A

sin(A+B)sin(A-B)= sin^2A-sin^2B

B

cos(A+B)cos(A-B)= cos^2A-sin^2B

C

cos(A+B)cos(A-B)=cos^2B-cos^2A

D

sin(A+B)sin(A-B)= cos^2B-cos^2A

[NSTU : Unit-A : 2015]

A- x

B

π/2-x

Cx

D

π/2+x

[NSTU : Unit-A : 2019]

A1

B3

C

3/5

D

1/5

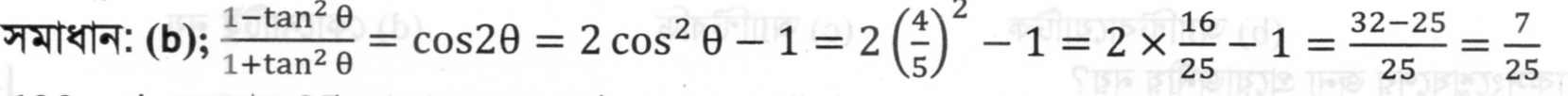
[NSTU : Unit-A : 2016]

A13/5

B12/5

C5/12

D13/12

[NSTU : Unit-A : 2015]

A4/25

B7/25

C11/25

D13/25

ত্রিকোনোমিতিক ফাংশনের ডোমেন ও রেঞ্জ

[NSTU : Unit-A : 2019]

A00

B300

C600

D900

[NSTU : Unit-A : 2017]

A60°

B120°

C90°

D130°

সংযুক্ত কোণের অনুপাত

[NSTU : Unit-A : 2015]

A1/2

B1/√2

C2/√3

D1/√3

[NSTU : Unit-A : 2015]

Aπ

B

π/2

C1

D

π/4

ফাংশন ও ফাংশনের লেখচিত্র

ফাংশনের ডোমেন ও রেঞ্জ

[NSTU : Unit-A : 2016]

A

(oo,0], [1,oo)

BR

C[-1, 1]

D

(0,oo)

[NSTU : Unit-A : 2017]

AR,R

BR, x≤4

CR≥4,R

DR,x≥4

[NSTU : Unit-A : 2019]

AR

B{1.-1}

CR-{0}

D{0}

ত্রিকোণমিতিক ফাংশনের পর্যায়

[NSTU : Unit-A : 2019]

A

3/2

B

2/3

C

1/2

D

3/4

এক-এক ফাংশন ও সার্বিক ফাংশন

[NSTU : Unit-A : 2017]

Af(x)=x2

Bf(x)=|x|

Cf(x)=sinx

D

f(x)=(3x+2)/5

অন্তরীকরণ

অন্তরকের সাহায্যে বাস্তব সমস্যা সমাধান

[NSTU : Unit-A : 2016]

A

(1+x)^-1= 1+x+x^2+x^3+.......

B

ln(1+x)=x-x^2/2+x^3/3-x^4/4+.........

C

ln(1+x)= x-x^2/(2!)+x^3/(3!)-x^4/(4!)+.......

D

ln(1+x)=1-x+x^2/(2!)-x^3/(3) +............

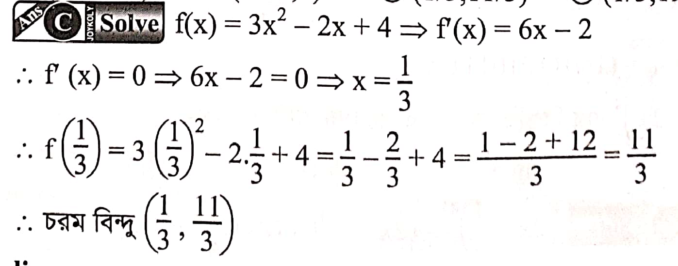
[NSTU : Unit-A : 2017]

A(-1/3,-3)

B(-1/3,5)

C(1/3,11/3)

D(1/3,19/3)

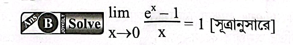
লিমিট হিসেবে অন্তরজ

[NSTU : Unit-A : 2019]

B1

C

1/2

D

0/0

[NSTU : Unit-A : 2015]

B2

C1

D

[NSTU : Unit-A : 2017]

A1

B-1

C2

D3

চেইন রুল

[NSTU : Unit-A : 2016]

A1/6

C1/3

D1/2

[NSTU : Unit-A : 2016]

Aex

B1

C1 + ex

Dex+1

পর্যায়ক্রমিক অন্তরীকরণ

[NSTU : Unit-A : 2017]

Ae2x

B2cosx+e2x

C5e2x

D-2sinx+2e2x

উচ্চতর গণিত দ্বিতীয় পত্র

বাস্তব সংখ্যা

অসমতা

[NSTU : Unit-A : 2019]

A

-1<=x<=9

B

1/2<x<9/2

C

x<=1/2 or x>=9/2

D

1/2<=x<=9/2

বাস্তব সংখ্যা ও বাস্তব সংখ্যার উপসেট

[NSTU : Unit-A : 2016]

B2

Ce

Dπ

[NSTU : Unit-A : 2017]

A11/3

B13/3

C17/4

D22/7

বাস্তব সংখ্যার স্বীকার্য

[NSTU : Unit-A : 2019]

A1

B101

C1111

D11111

ব্যবধি, সুপ্রিমাম ও ইনফ্রিমাম এবং পরমমান

[NSTU : Unit-A : 2019]

Ac=b

Bc>0

Cc<0

DChoice 4

বিস্তার পরিমাপ ও সম্ভাবনা

সম্ভাবনার মৌলিক সূত্র

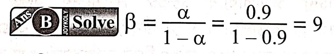
[NSTU : Unit-A : 2019]

A

1/4

B

1/2

C

1/8

D

3/4

বিবিধ

[NSTU : Unit-A : 2019]

A{1,2,3}

B{1,2,4}

C{2,3,4}

D{1,3,4}

গড় ব্যবধান ও পরিমিত ব্যবধান

[NSTU : Unit-A : 2017]

A2

B8

C16

D4

EBlank

বাস্তব জীবনভিত্তিক সমস্যা

[NSTU : Unit-A : 2017]

A27

B3

C√27

D9

যোগাশ্রয়ী প্রোগ্রাম

যোগাশ্রয়ী প্রোগ্রাম

[NSTU : Unit-A : 2015]

A10.5

B5.5

C5.25

D10.25

[NSTU : Unit-A : 2016]

A110

B100

C011

D101

[NSTU : Unit-A : 2017]

A11001001

B10011010111

C11101011011

D11101110011

জটিল সংখ্যা

মান নির্ণয় সংক্রান্ত

[NSTU : Unit-A : 2015]

A

sqrt2

B2

C

-sqrt2

D

+-sqrt2

[NSTU : Unit-A : 2015]

A- 4

B4

D1

জটিল সংখ্যা ও এর মডুলাস , আর্গুমেন্ট

[NSTU : Unit-A : 2019]

A2

B4

C5

D-1

বহুপদী ও বহুপদী সমীকরণ

নিশ্চায়ক

[NSTU : Unit-A : 2016]

A3, 2

B3, - 2

C- 3, 2

D- 3,  - 2

[NSTU : Unit-A : 2017]

Aa=0, b≠0, c≠0

Bb2−4ac=0

Ca≠0, b=c=0

Da≠0, b2-4ac>0

সমীকরণ গঠন

[NSTU : Unit-A : 2019]

Ax2-5x+6=0 

Bx2-11x+30=0

Cx2-2x+1=0

Dx2-4x+3=0

দ্বিপদী বিস্তৃতি

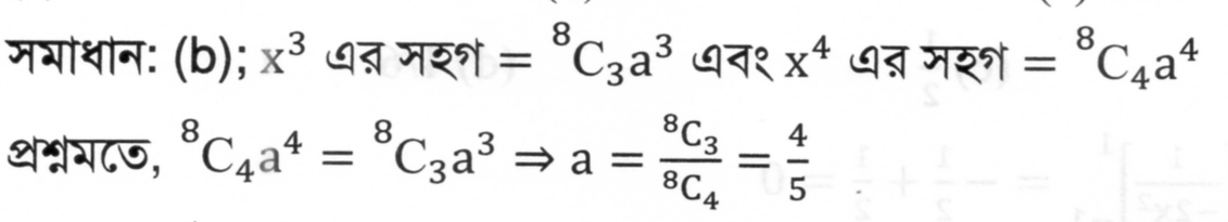
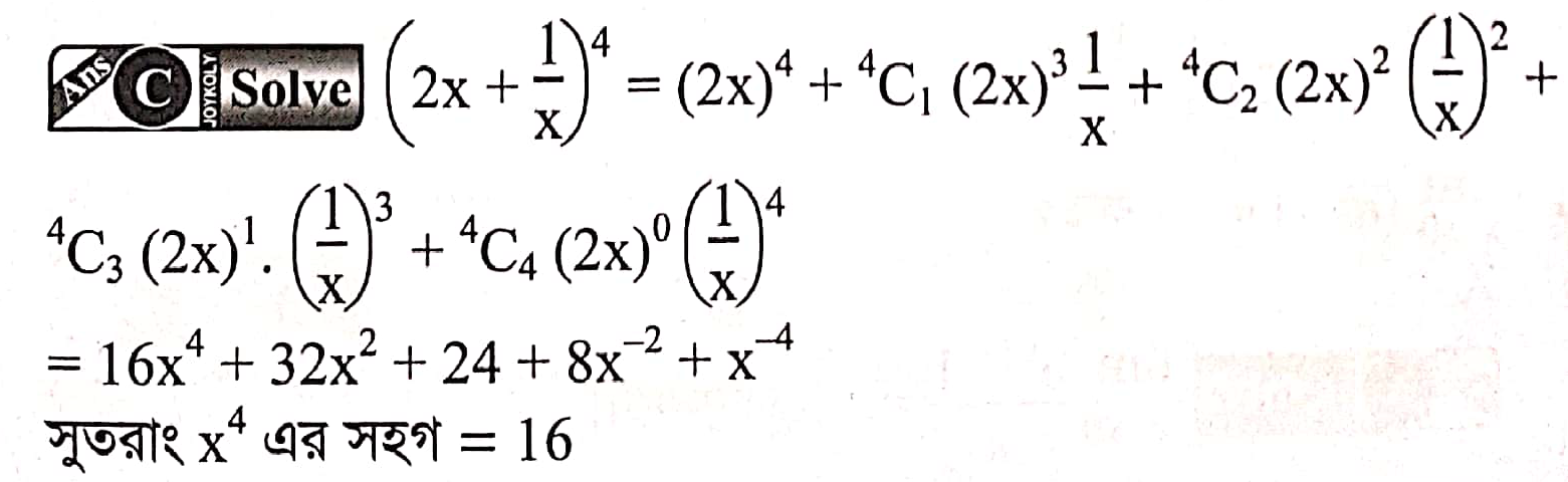
X^k এর সহগ নির্নয়

[NSTU : Unit-A : 2017]

A1

B2

C16

D3

[NSTU : Unit-A : 2016]

A5/4

B4/5

C16/5

D5/16

মধ্যপদ ও সমদূরবর্তী পদ

[NSTU : Unit-A : 2015]

A6

B12

C18

D20

x বর্জিত পদ

[NSTU : Unit-A : 2019]

A832

B924

C492

D1294

কণিক

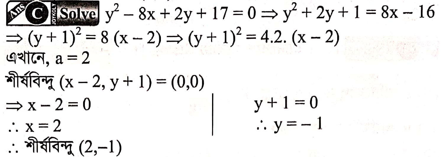
অধিবৃত্ত - সমীকরণ, লেখচিত্র

[NSTU : Unit-A : 2017]

A

x^2/4+y^2/9=1

B(y-2)2=11(x+3)

C(x+1)2=8y

Dxy=1

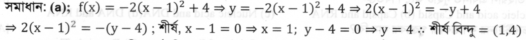
পরাবৃত্ত - সমীকরণ, লেখচিত্র

[NSTU : Unit-A : 2015]

A(1, 4)

B(-1, 4)

C(-2, 4)

D(2, 4)

[NSTU : Unit-A : 2017]

A(2,-1)

B(0,0)

C(1,2)

D(-1,2)

[NSTU : Unit-A : 2016]

Ae =1, পরাবৃত্ত 

B0 < e < 1,  উপবৃত্ত 

C e<=1,   বৃত্ত 

De > 1,  অধিবৃত্ত 

উপবৃত্ত - সমীকরণ, লেখচিত্র

[NSTU : Unit-A : 2015]

A(-2,2) & (4,2)

B(1,-3) & (1,7)

C(-2,2) & (1,2)

D(-4,2) & (6,2)

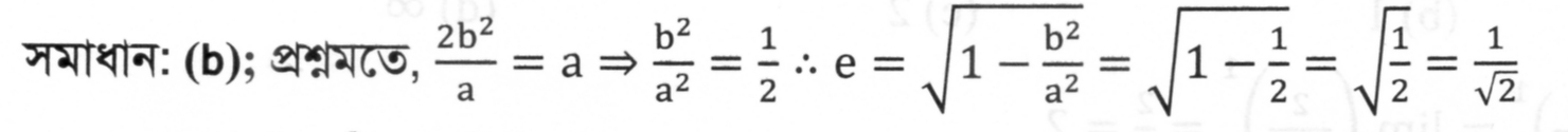
উপবৃত্ত - উৎকেন্দ্রিকতা ও উপকেন্দ্র

[NSTU : Unit-A : 2015]

A1/2

B1/√2

C√2

D2

পরাবৃত্ত - প্রয়োজনীয় সূত্রাবলী

[NSTU : Unit-A : 2015]

A8

B5

C7

D- 7

বিভিন্ন প্যারামিটার থেকে সমীকরণ নির্ণয়

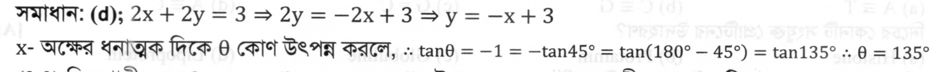
[NSTU : Unit-A : 2016]

Ax=0

Bx - a =0

Cy= 0

Dx + a=0

[NSTU : Unit-A : 2019]

Ay=0

By+2=0

C6x-7=0

Dx=0

কণিক - চিত্রে উপস্থাপন ও সাধারণ সমীকরণ

[NSTU : Unit-A : 2015]

Aবৃত্ত

Bবিন্দু 

Cউপবৃত্ত 

Dসরলরেখা 

বিপরীত ত্রিকোণমিতিক ফাংশন ও ত্রিকোনমিতিক সমীকরন

ত্রিকোণোমিতিক ফাংশনের সাধারণ সমাধান

[NSTU : Unit-A : 2017]

A

npi+(-1)^nalpha

B

npi

C

(2n+1)pi/2

D

2npi+-alpha

[NSTU : Unit-A : 2016]

A

sin^-1(sinx)=x, when (-1<=x<=1)

B

sin(sin^-1x)=x, when (-1<=x<=1)

C

cos(cos^-1x)=x, when (0<=x<=π)

D

cos^-1(cosx)=x, when (-π/2<=x<=π/2)

ত্রিকোনোমিতিক ও বিপরীত বৃত্তীয় ফাংশনের সংযোজিত ফাংশন

[NSTU : Unit-A : 2015]

A3√7/7

B√7/3

C4√7/7

D√7/4

নির্দিষ্ট ব্যবধিতে সমীকরণ সমাধান

[NSTU : Unit-A : 2017]

Atan-1(7/11)

Btan-1(3/10)

Ctan-1(11/7)

Dtan-1(11/13)

সমতলে বস্তুকণার গতি

প্রাস

[NSTU : Unit-A : 2017]

A

u/(gsinalpha)

B

u^2/(2g)

C2u/g

D

u^2/(2g)sin^2a

EBlank

গুলির দেয়াল ভেদ করা

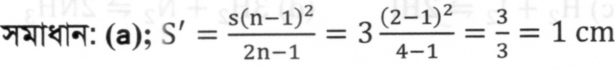
[NSTU : Unit-A : 2015]

A1 cm

B1.5 cm

C3 cm 

D2 cm

লেখচিত্রে বস্তুকণার গতিপথ

[NSTU : Unit-A : 2015]

A15.5 N

B5.75 N

C3.75 N

D3.25 N

নিক্ষিপ্ত বস্তু কণা সম্পর্কিত

[NSTU : Unit-A : 2016]

A2g/u

B2usinθ/g

Cusinθ/g

Du2sinθ/2g

পড়ন্ত বস্তু

[NSTU : Unit-A : 2019]

A3.19

B3.91

C4.25

D4.52

নদী, নৌকা, স্রোত সম্পর্কিত

[NSTU : Unit-A : 2019]

Au+v

Bu-v

Cv

Dv-u

পদার্থবিজ্ঞান প্রথম পত্র

আদর্শ গ্যাস ও গ্যাসের গতিতত্ত্ব

সার্বজনীন গ্যাস ধ্রুবক

[NSTU : Unit-A : 2015]

AR=8.314 JK-1

BR=8.314 Jmol-1K-1

CR=8.314 Jmol-1

DR=8314 Jmol-1K-1

ভেক্টর

ডট এবং ক্রস গুণন

[NSTU : Unit-A : 2017]

A

3hati+3hatj+3hatk

B

2hati+2hatj+2hatk

C

sqrt2(hati+hatj+hatk)

[NSTU : Unit-A : 2017]

A200

B250

C300

D350

[NSTU : Unit-A : 2015]

A6

B2

C3

D4

[NSTU : Unit-A : 2015]

ABও C বিপরীতমুখী 

BB এবং C পরস্পর উলম্ব 

CB=C

Dকোনটিই নয় 

ভেক্টর ক্যালকুলাস

[NSTU : Unit-A : 2019]

A1

B9

C3

D4

[NSTU : Unit-A : 2015]

Aফেরাস 

Bকপার 

Cসিলভার 

Dঅ্যালুমিনিয়াম 

আয়াতে একক ভেক্টর এর অক্ষের সাথে সম্পর্ক

[NSTU : Unit-A : 2017]

Acos

Bsin

Ctan

Dcot 

গতিবিদ্যা

প্রাস সংক্রান্ত

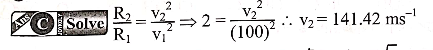
[NSTU : Unit-A : 2017]

A173.2 m/s

B200 m/s

C141.4 m/s

D400 m/s

[NSTU : Unit-A : 2016]

A5s

B2s

C3s

D10s

সমীকরণ থেকে বেগ, ত্বরণ, বল নির্ণয়

[NSTU : Unit-A : 2015]

A4 unit

B5 unit

C6 unit

D7 unit

নিউটনিয়ান বলবিদ্যা

বলের ধারণা, প্রকারভেদ ও নিউটনের গতিসূত্র

[NSTU : Unit-A : 2015]

A102 dyne

B103 dyne

C105 dyne

D106 dyne

[NSTU : Unit-A : 2019]

A102

B104

C106

D10-2

[NSTU : Unit-A : 2019]

A2πms-1

B8πms-1

Cπms-1

D4πms-1

[NSTU : Unit-A : 2019]

Aঘর্ষণ বল 

Bবৈদ্যুতিক বল 

Cচুম্বক বল 

Dঅভিকর্ষজ বল 

ঘর্ষণ

[NSTU : Unit-A : 2017]

A2m/s2

B1.5 m/s2

C1.75 m/s2

D1m/s2

EBlank

রৈখিক ভরবেগ

[NSTU : Unit-A : 2015]

A3.14 cms-1

B0.178 cms-1

C4.13 cms-1

D1.78 cms-1

ব্যাংকিং কোন (উলম্বের সাথে)

[NSTU : Unit-A : 2017]

A9.8 m/s2

B1.8 m/s2

C2 m/s2

D2.7 m/s2

কৌণিক এবং কেন্দ্রমুখী বলের ধারণা

[NSTU : Unit-A : 2017]

Aগাড়ির বেগ 

Bরাস্তার বক্রতার ব্যাসার্ধ 

Cগাড়ির ভর 

Dআনতি কোণ 

[NSTU : Unit-A : 2017]

Aশূন্য 

Bmrv2

Cmv2/r2

Dmv2/r

কাজ, শক্তি ও ক্ষমতা

শক্তি

[NSTU : Unit-A : 2017]

A

2sqrt(mx)

B

sqrt((2x)/m)

C

2sqrt(m/x)

D

sqrt(mx)

[NSTU : Unit-A : 2015]

A1.372×105 J

B2.372×10J

C2.372×10J

D1.372×10J

EBlank

কাজ

[NSTU : Unit-A : 2016]

A

B45°

C90°

D30°

মহাকর্ষ ও অভিকর্ষ

অভিকর্ষজ ত্বরণ ও পরিবর্তন

[NSTU : Unit-A : 2015]

A10kg

B60kg

C15kg

D0kg 

[NSTU : Unit-A : 2019]

Aস্টোকসের সূত্র

Bচার্লসের সূত্র

Cসান্দ্রতার সূত্র

Dচাপের সূত্র 

মহাকর্ষীয় বিভব ও প্রাবল্য

[NSTU : Unit-A : 2019]

Aঅসীমে 

Bকেন্দ্রে 

Cভরকেন্দ্রে 

Dবায়ুমণ্ডলে 

কৃত্রিম উপগ্রহ ও ভূ-স্থির উপগ্রহ

[NSTU : Unit-A : 2019]

Aএটি দ্রুত আবর্তিত হয় 

Bএটি আস্তে আবর্তিত হয় 

Cএটি অপরিবর্তিত থাকে 

Dএটি হারিয়ে যাবে

কেপলারের সূত্র

[NSTU : Unit-A : 2017]

Aদ্রুত 

Bআস্তে 

Cসব জায়গায় সমান থাকবে 

Dবর্গের সূত্র অনুসারে করবে 

পদার্থের গাঠনিক ধর্ম

পৃষ্ঠটান বা পৃষ্ঠশক্তি

[NSTU : Unit-A : 2015]

Aকালির সান্দ্রতা 

Bকৌশিক ক্রিয়া 

Cব্লটিং পেপারের কালির পরিব্যাপন 

Dসাইফন ক্রিয়া 

[NSTU : Unit-A : 2019]

Aসান্দ্রতা 

Bস্থিতিস্থাপকতা 

Cপৃষ্টটান 

Dকৌণিকতা 

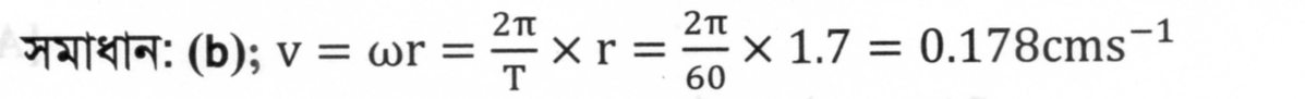
পর্যাবৃত্তিক গতি

পর্যাবৃত্ত গতি

[NSTU : Unit-A : 2019]

A ত্বরণ 

Bসরণ

C ভর 

Dসময়কাল 

সরণ, বেগ, ত্বরণ ও কম্পাংক

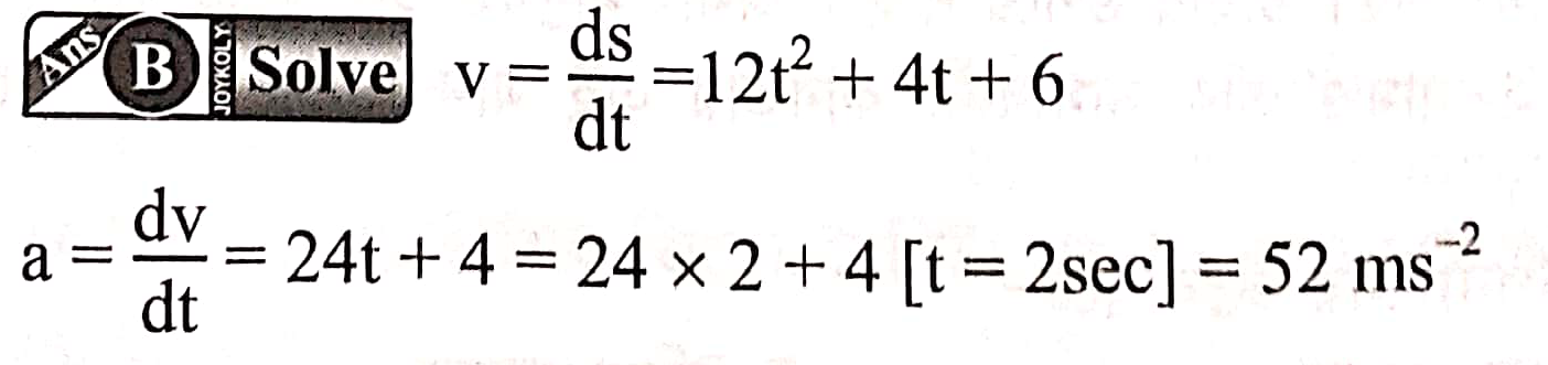
[NSTU : Unit-A : 2017]

A24

B52

C50

D60

সেকেন্ড দোলক ও অভিকর্ষজ ত্বরণ

[NSTU : Unit-A : 2017]

A50 cm 

B100 cm

C2 cm

D2m 

তরঙ্গ

অগ্রগামী তরঙ্গ

[NSTU : Unit-A : 2015]

A1725 Hz

B1750 Hz

C1700 Hz

D1800 Hz

তরঙ্গ ও শক্তি

[NSTU : Unit-A : 2017]

A1MHz

B2MHz

C20MHz

D60MHz

তীব্রতা, তীব্রতা লেভেল ও তীব্রতা লেভেল এর পার্থক্য

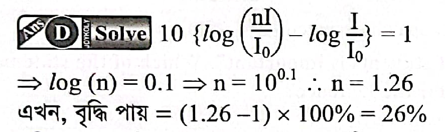
[NSTU : Unit-A : 2019]

A28% 

B29% 

C22% 

D26%

[NSTU : Unit-A : 2019]

An1-n

Bn1+n

Cn1/n2

Dn1n2

[NSTU : Unit-A : 2019]

Aঅর্ধেক 

Bদ্বিগুণ 

Cচারগুন 

Dপাঁচগুণ 

আড় ও অনুপ্রস্থ তরঙ্গ এবং কয়েকটি সংজ্ঞা

[NSTU : Unit-A : 2016]

A480 nm 

B380 nm

C320 nm

D120 nm

[NSTU : Unit-A : 2017]

Aএক্সরে 

Bরেডিও তরঙ্গ 

Cশব্দ তরঙ্গ

D ইনফ্রায়েড রেডিয়েশন 

পথ পার্থক্য ও দশা পার্থক্য

[NSTU : Unit-A : 2015]

Aλ/2

Bλ/3

Cλ/4

Dλ/8

[NSTU : Unit-A : 2019]

Aπ/2

Bπ

C3π/2

D

স্থির তরঙ্গ

[NSTU : Unit-A : 2019]

Aপ্রতিসরণ 

Bসমবর্তন 

Cঅপবর্তন 

Dপ্রতিফলন 

পদার্থবিজ্ঞান দ্বিতীয় পত্র

তাপগতিবিদ্যা

তাপ, অভ্যন্তরীণ শক্তি ও কাজ

[NSTU : Unit-A : 2015]

A100cal 

B100J

C1Cal

D1J

[NSTU : Unit-A : 2015]

Aসমুদ্রপৃষ্ঠে 

Bমাউন্ট এভারেস্টের উপর 

Cসমুদ্রপৃষ্ট থেকে নিচু কোন উপত্যকায় 

D10000m  উচ্চতায় উড়ন্ত কোন উড়োজাহাজে যেখানে সমুদ্রপৃষ্টের সমান চাপ বজায় রাখা হয়েছে। 

সেমিকন্ডাক্টর ও ইলেক্ট্রনিক্স

নাম্বার সিস্টেম

[NSTU : Unit-A : 2015]

A(1011001)2

B(101010)2

C(10000)2

D(1111)2

ট্রান্জিস্টর

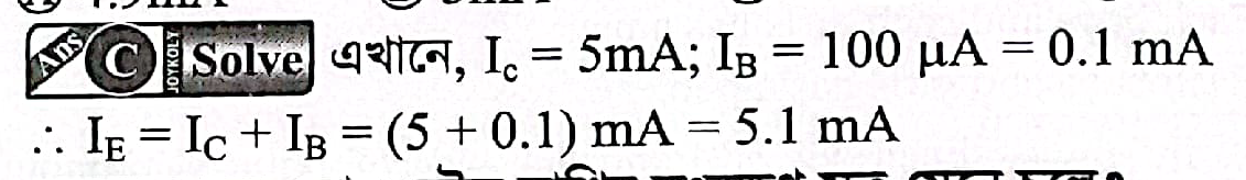
[NSTU : Unit-A : 2019]

A4.9mA

B5mA

C5.1mA

D5.2mA

[NSTU : Unit-A : 2019]

AOR

BAND

CNAND

DNOT 

[NSTU : Unit-A : 2016]

ATransformer

BTransducer

CTransistor

DGenerator

[NSTU : Unit-A : 2016]

Aএকমুখীকারক

Bবিবর্ধক

Cস্পন্দক

Dইলেকট্রন হোলের উৎস

এন ও পি টাইপ সেমিকন্ডাক্টর ও ডায়োড

[NSTU : Unit-A : 2016]

A7.47 mA

B4.74 mA

C1.47 mA

D1.74 mA

[NSTU : Unit-A : 2016]

AFET

BTransistor

CMOSFET

DDEMOSFET

[NSTU : Unit-A : 2016]

Aরেকটিফায়ার

Bসুইচ হিসেবে

Cবিবর্ধক

Dস্পন্দক হিসেবে

[NSTU : Unit-A : 2019]

Aশূন্য 

Bনিম্ন 

Cউচ্চ 

Dঅসীম 

[NSTU : Unit-A : 2016]

Aহোল

Bমুক্ত ইলেকট্রন

Cমুক্ত ইলেকট্রন ও হোল

Dমুক্ত ইলেকট্রন ও প্রোটন

পরিবাহী, অপরিবাহী ও অর্ধপরিবাহী

[NSTU : Unit-A : 2015]

Aসেগুলোতে মুক্ত ইলেক্ট্রন থাকে 

Bপরমাণুগুলো হালকাভাবে গুচ্ছবদ্ধ থাকে 

Cসবকয়টি 

Dসেগুলোর উচ্চ গলাঙ্ক হয় 

জ্যোতির্বিজ্ঞান

টেলিস্কোপ

[NSTU : Unit-A : 2017]

Aকোনটিই নয় 

Bফিউশন 

Cফিশন

Dতেজস্ক্রিয়তা 

স্থির তড়িৎ

ধারক, ধারকের সমবায় ও শক্তি

[NSTU : Unit-A : 2017]

A0.5μF

B1μF

C1.5μF

D0μF

[NSTU : Unit-A : 2016]

A9.9μF

B10.83μF

C8.9μF

D15.5μF

[NSTU : Unit-A : 2015]

AU=1/2*C*V

BU=1/2*C*V2

CU=C*V2

DU=1/2*C2*V

[NSTU : Unit-A : 2016]

Aঅপরিবর্তিত থাকবে

Bদ্বিগুণ হবে

Cঅর্ধেক হবে

Dকোনোটিই নয়

কুলম্বের সূত্র ও ক্ষেত্র তত্ত্ব

[NSTU : Unit-A : 2019]

Aবৃহৎ চার্জ 

Bক্ষুদ্র চার্জ 

Cবিন্দু চার্জ

Dযে কোনো চার্জ 

চল তড়িৎ

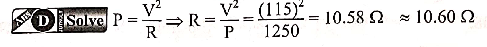
বিদ্যুৎ শক্তি, ক্ষমতা ও তাপ

[NSTU : Unit-A : 2017]

A143KΩ

B9.2MΩ

C10.87Ω

D10.6Ω

রোধ, আপেক্ষিক রোধ ও রোধের সমবায়

[NSTU : Unit-A : 2015]

A2.5Ω

B

C2.22Ω

D3.33Ω

হুইটস্টোন ব্রীজ

[NSTU : Unit-A : 2016]

A20Ω শ্রেণিতে

B4Ω শ্রেণিতে

C20Ω শ্রেণিতে

D24Ω শ্রেণিতে

তড়িৎ প্রবাহ, রোধ ও জুলের সূত্র

[NSTU : Unit-A : 2019]

AH ∝ t

BH ∝ i

C√H ∝ i

DH∝ R 

[NSTU : Unit-A : 2019]

Aএকই 

Bদ্বিগুণ 

Cঅর্ধেক

Dচারগুন 

তড়িৎ প্রবাহের চৌম্বক ক্রিয়া ও চুম্বকত্ব

চৌম্বক ক্ষেত্রের পরিবাহী তারে সৃষ্ট টর্ক

[NSTU : Unit-A : 2019]

A1

C-1

D0.1 

[NSTU : Unit-A : 2016]

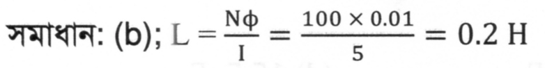
A5.0 H

B0.2 H

C0.5 H

D2.0 H

কক্ষপথে ঘূর্ণায়মান ইলেক্ট্রন

[NSTU : Unit-A : 2015]

A4μF

B2μA

C1μF

D16μF

[NSTU : Unit-A : 2015]

AA বিন্দুর অভিমুখে যাবে 

BB এর অভিমুখে যাবে 

CA ও B এর সংযোগকারী রেখা সমকোণে চলবে 

Dস্থির থাকবে 

[NSTU : Unit-A : 2016]

Aম্যাক্সওয়েল 

Bনিউটন 

Cহাইগেনস 

Dহার্টজ 

লরেন্জ বল

[NSTU : Unit-A : 2016]

AF=0

BF=qvB

CF=∝

DF=qvBs

বায়োট-স্যাভার্ট সূত্র

[NSTU : Unit-A : 2017]

Axy

Bx/y

Cy/x

D-xy

চৌম্বক পদার্থের বিশেষ ধর্ম

[NSTU : Unit-A : 2016]

Aওয়েবার

Bটেসলা

Cঅ্যাম্পিয়ার/মিটার

Dহেনরী

[NSTU : Unit-A : 2015]

Aগড় পড়তা

Bসর্বনিম্ন 

Cশুন্য 

Dসর্বো???্চ 

তড়িৎ চৌম্বক আবেশ ও পরিবর্তী প্রবাহ

ফ্যারাডের সূত্র এবং আবিষ্ট তড়িচ্চালক বল

[NSTU : Unit-A : 2019]

A5.0H

B0.2H

C0.5H

D2.0H

জ্যামিতিক আলোকবিজ্ঞান

টেলিস্কোপ

[NSTU : Unit-A : 2015]

A ওজোন লেয়ারের ক্ষয়ের জন্য 

Bবায়ুমন্ডলের বিভিন্ন স্তুরের অসম উত্তাপনের জন্য 

Cবায়ুমন্ডলে চৌম্বক ক্ষেত্রের ব্যাঘাতের জন্য 

Dবায়ুমন্ডলের বিভিন্ন স্তুরের সম উত্তাপনের জন্য

[NSTU : Unit-A : 2017]

Aবাতাস

Bপানি

Cকেরোসিন

Dকাঁচ

লেন্সের সাধারণ সমীকরণ ও বিবর্ধন

[NSTU : Unit-A : 2015]

A2D

B5D

C8D

D10D

[NSTU : Unit-A : 2019]

Aভর

Bআধান 

Cভরবেগ 

Dশক্তি 

প্রতিসরণাঙ্ক

[NSTU : Unit-A : 2016]

A40 cm 

B60 cm 

C80 cm 

D80 mm

[NSTU : Unit-A : 2015]

Aপ্রতিসরণ 

Bপূর্ণ অভ্যন্তরীন প্রতিফলন 

Cবিক্ষেপ 

Dব্যতিচার

ভৌত আলোকবিজ্ঞান

তড়িৎ চুম্বকীয় তরঙ্গ, বর্ণালী ও তরঙ্গমুখ

[NSTU : Unit-A : 2019]

A(velocity)1/2

B1/(velocity)2

C1/velocity 

D(velocity)2

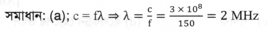
[NSTU : Unit-A : 2016]

A2 MHz

B4 MHz

C20 KHz

D6 MHz

[NSTU : Unit-A : 2016]

Aব্যতিচার 

Bসমবর্তন 

Cঅপবর্তন 

Dআলোক তড়িৎ ক্রিয়া 

ব্যতিচার ও ইয়াং এর দ্বিচির পরীক্ষা

[NSTU : Unit-A : 2019]

Aএকাধিক তরঙ্গমুখ 

Bসুসংগত আলো 

Cপথ পার্থক্য

Dস্পন্দন সংখ্যার পার্থক্য 

আধুনিক পদার্থবিজ্ঞানের সূচনা

আধুনিক পদার্থবিজ্ঞানের ধারণা

[NSTU : Unit-A : 2016]

A vecF=q(vecE+vecvxxvecB)

B vecF=qvecE+qvecB

C qvecF=vecvxxvecB+qvecE

D vecF=vecvq+vecBq

ডি ব্রগলীর তরঙ্গ ও ভরবেগ

[NSTU : Unit-A : 2016]

A10-11m to 10-15m

B10-7m to 10-8m

C3 x 10-9m to 10-11m

D10-1m to 10-3m

[NSTU : Unit-A : 2016]

A1240 A°

B1 A°

C3.88 A°

D0.55 A°

[NSTU : Unit-A : 2017]

Aনাম 

Bআকার 

Cভরবেগ 

Dবিভবশক্তি 

আলোক তড়িৎক্রিয়া

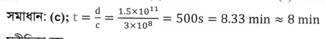
[NSTU : Unit-A : 2015]

A2 min

B4 min

C8 min

D16 min

[NSTU : Unit-A : 2016]

A3 x 108 cm/s

B3 x 108 m/s

C3 x 103 m/s

D3 x 103 cm/s

পরমাণুর মডেল ও নিউক্লিয়ার পদার্থবিজ্ঞান

তেজস্ক্রিয়তা ও ক্ষয়ের সূত্র

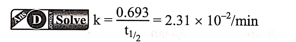
[NSTU : Unit-A : 2017]

A1

B9

C0.09

D0.9

[NSTU : Unit-A : 2017]

A7500

B8000

C9000

D7070

ভর ত্রুটি, বন্ধন শক্তি ও নিউক্লীয় বিক্রিয়া

[NSTU : Unit-A : 2016]

A3×10-19 J

B10 J

C3×10-10 J

D10×10-10 J

পরমাণুর আকার, শক্তি ও ব্যাসার্ধ

[NSTU : Unit-A : 2017]

A50cm

B500nm

C100nm

D5000nm

[NSTU : Unit-A : 2016]

Aইলেকট্রন

Bপ্রোটন

Cআলফা

Dনিউট্রন

পরমাণুর মডেল

[NSTU : Unit-A : 2017]

AX-রশ্মি

Bক্যাথোড রশ্মি

Cলেজার রশ্মি

Dগামা রশ্মি

[NSTU : Unit-A : 2015]

Aএক্স রে 

Bঅতি বেগুনী রশ্মি 

Cদৃশ্যমান আলো 

Dবেতার তরঙ্গ 

বাংলা সাহিত্য

আমার পথ

অন্যান্য টপিক

[NSTU : Unit-A : 2016]

A১৯৭২ 

B১৯৭৪ 

C১৯৭৬ 

D১৯৭৫ 

[NSTU : Unit-A : 2017]

Aচুরুলিয়া

Bশাহজাদপুর

Cময়মনসিংহ

Dদরিরামপুর

[NSTU : Unit-A : 2016]

Aসর্বহারা 

Bবিষের বাঁশি

Cবাঁধন-হারা

Dদোলন-চাঁপা

উপন্যাস, নাটক, প্রবন্ধ, রম্যরচনা, কাব্যগ্রন্থ, ছোটগল্প ও ভ্রমণকাহিনী

অন্যান্য টপিক

[NSTU : Unit-A : 2017]

Aআবুল ফজল

Bআনোয়ার পাশা

Cহুমায়ুন আহমেদ

Dজহির রায়হান

কবিদের জন্ম-মৃত্যু, জীবনী, উপাধি, প্রকৃত নাম ও ছদ্মনাম

অন্যান্য টপিক

[NSTU : Unit-A : 2019]

Aমানিক বন্দ্যোপাধ্যায় 

Bতারাশঙ্কর বন্দ্যোপাধ্যায় 

Cবিভূতিভূষণ বন্দ্যোপাধ্যায় 

Dনারায়ন বন্দ্যোপাধ্যায় 

পত্রিকা, সাময়িকী ও সম্পাদক

অন্যান্য টপিক

[NSTU : Unit-A : 2017]

Aসবুজপত্র

Bবঙ্গদর্শন

Cভারতী

Dকল্লোল

বাংলা সাহিত্যের ইতিহাস ও আদিযুগ

অন্যান্য টপিক

[NSTU : Unit-A : 2017]

A১৯০৭

B১৯০৮

C১৯০৯

D১৯১৭

বাংলা সাহিত্যের মধ্যযুগ

অন্যান্য টপিক

[NSTU : Unit-A : 2019]

Aচন্ডিদাস

Bবিজয়গুপ্ত

Cকৃষ্ণদাস

Dআলাওল

বাঙ্গালার নব্য লেখকদিগের প্রতি নিবেদন

অন্যান্য টপিক

[NSTU : Unit-A : 2019]

Aউপন্যাসের মাধ্যমে

Bগল্পের মাধ্যমে

Cকবিতার মাধ্যমে

Dগানের মাধ্যমে

বায়ান্নর দিনগুলো

অন্যান্য টপিক

[NSTU : Unit-A : 2019]

Aটেলিগ্রামের মাধ্যমে

Bবন্দিদের মাধ্যমে

Cরেডিওগ্রামে

Dসিপাহিদের মাধ্যমে

বিবিধ

অন্যান্য টপিক

[NSTU : Unit-A : 2017]

Aকল্লোল

Bসবুজপত্র

Cমোহাম্মদী

Dমাহে নও

[NSTU : Unit-A : 2019]

Aনির্দেশক

Bকার্যকারণান্তক

Cপ্রশ্নাত্নক

Dঅনুঙ্গাবাচক 

[NSTU : Unit-A : 2017]

Aমগসিন কলেজ

Bঢাকা কলেজ

Cফোর্ট উইলিয়াম কলেজ

Dমতুদ্দুন মজলিশ

বিলাসী

অন্যান্য টপিক

[NSTU : Unit-A : 2019]

Aআঠারো শতকে

Bউনিশ শতকে

Cবিশ শতকে

Dএকুশ শতকে

রেইনকোট

অন্যান্য টপিক

[NSTU : Unit-A : 2019]

Aস্বরূপের সন্ধ্যানে

Bদোজখের ওম

Cখোয়াবনামা

Dচিলেকোঠার সেপাই

সোনার তরী

অন্যান্য টপিক

[NSTU : Unit-A : 2017]

Aমাত্রাবৃত্ত

Bস্বরবৃত্ত

Cঅক্ষরবৃত্ত

Dআমিত্রাক্ষর

[NSTU : Unit-A : 2016]

Aশান্তি নিকেতন

Bশিলাইদহ

Cজোড়াসাঁকো 

Dশাহবাজপুর 

বাংলা ব্যাকরন

এক কথা প্রকাশ

অন্যান্য টপিক

[NSTU : Unit-A : 2016]

Aঅপূর্ব

Bঅদৃষ্টপূর্ব

Cঅভূতপূর্ব 

Dভূতপূর্ব 

ধাতু

অন্যান্য টপিক

[NSTU : Unit-A : 2016]

Aধাতু

Bপ্রকৃতি 

Cপ্রত্যয়

Dমৌলিক শব্দ

ধ্বনি পরিবর্তন

অন্যান্য টপিক

[NSTU : Unit-A : 2016]

Aঅপগত 

Bপরাগত 

Cসমীভবন 

Dবিষমীভবন 

ধ্বনি, বর্ণ ও বর্ণের উচ্চারন

অন্যান্য টপিক

[NSTU : Unit-A : 2019]

A

B

C

D

নর ও নারীবাচক শব্দ

অন্যান্য টপিক

[NSTU : Unit-A : 2019]

Aদিদি

Bবিধবা

Cঠাকুরাইন

Dবেঙ্গমী

[NSTU : Unit-A : 2016]

Aসতী

Bষোড়শী 

Cঠাকুরণ

Dঝি

পদ প্রকরণ

অন্যান্য টপিক

[NSTU : Unit-A : 2017]

Aবাক্যের সরল ও জটিল রুপে

Bতৎসম ও অর্ধতৎসম শব্দের ব্যবহার

Cক্রিয়াপদ ও সর্বনাম

Dশব্দ ও বাক্যের রুপগত ভিন্নতায়

পারিভাষিক শব্দ

অন্যান্য টপিক

[NSTU : Unit-A : 2016]

Aআমলে আনা 

Bমুলতবি করা 

Cবাতিল করা 

Dকার্যকর করা 

[NSTU : Unit-A : 2016]

Aসাপ্তাহিক 

Bপাক্ষিক

Cষাণ্মাসিক 

Dত্রৈমাসিক 

প্রতিশব্দ/শব্দার্থ

অন্যান্য টপিক

[NSTU : Unit-A : 2016]

Aভাসা ভাসা জ্ঞান 

Bপাতা কুড়ানো 

Cঅনুকরণ 

Dপাতা ভাসানো 

[NSTU : Unit-A : 2017]

Aভূমিজাত

Bজন্মগ্রহণ করা

Cমিথ্যাচার

Dপ্রচুর

বাংলা বানান ও শুদ্ধিকরন এবং প্রয়োগ-অপপ্রয়োগ

অন্যান্য টপিক

[NSTU : Unit-A : 2019]

Aরেঁনেঁসাঁ

Bরেনেঁসা

Cরিনেসসঁ

Dরেনেসাঁস

বাংলা ব্যাকরণ

অন্যান্য টপিক

[NSTU : Unit-A : 2016]

Aবাংলা 

Bইংরেজি 

Cপর্তুগিজ 

Dসংস্কৃত 

বাগধারা

অন্যান্য টপিক

[NSTU : Unit-A : 2016]

Aজীর্ণ শীর্ণ লোক 

Bমিশিয়ে ফেলা 

Cপুথিগত বিদ্যা 

Dসব পক্ষের মন যুগিয়ে চলা 

[NSTU : Unit-A : 2017]

Aমেঘের ধ্বনি-মন্দ্র

Bময়ূরের ডাক-কেকা

Cগম্ভীর ধ্বনি-মর্মর

Dভ্রমণের ধ্বনি-গুঞ্জন

বিপরীত শব্দ

অন্যান্য টপিক

[NSTU : Unit-A : 2017]

Aঅনুলোম-প্রতিলোম

Bহৃষ্ট-পুষ্ট

Cনম্বর-অবিনশ্বর

Dগরিষ্ঠ-লগিষ্ঠ

[NSTU : Unit-A : 2019]

Aপ্রার্থী

Bপ্রত্যর্থী

Cকৃতার্থী

Dকৃতার্থ

ভাষা ও বাংলা ভাষা, ভাষার রীতি ও বিভাজন

অন্যান্য টপিক

[NSTU : Unit-A : 2019]

Aপ্রাতে

Bশুষ্ক

Cবুনো

Dজুতা

শব্দ সম্ভার

অন্যান্য টপিক

[NSTU : Unit-A : 2017]

Aহিন্দি

Bগ্রিক

Cফারসি

Dপুর্তগিজ

💬
👇

Explanation